所屬科目:結構學概要與鋼筋混擬土學概要
一、如圖 1 所示構架, a 點為固定端,c 點承受垂直集中載重 8 kN 。求固定端 反力及彎矩、畫 bc 桿件的剪力圖及彎矩圖。
二、如圖 2 所示之平面桁架結構,b 點為滾支承, c 點為鉸支承。求各支承反 力及 bc 桿件、 ce 桿件的軸力。
三、混凝土矩形梁配置D16垂直肋筋,混凝土提供之剪力計算強度=19tf,剪力鋼筋提供之剪力計算強度=30tf,當梁承受靜載重作用時之的斷面剪力=10tf及活載重作用時之的斷面剪力=15tf。求矩形梁斷面之設計剪力、斷面之剪力計算強度及驗證強度設計法規範的要求。
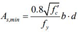
五、如下圖所示單筋混凝土矩形梁斷面,混凝土抗壓強度 = 280 kgf / cm 2, 梁寬 b = 36 cm,梁全深 h = 50 cm,保護層厚度 4 cm,配置 D16 垂直肋筋, D16 鋼筋直徑 1.59 cm 。 採用 4 根 D25 拉力鋼筋 , 降伏強度 = 4200 kgf cm 2 。單根 D25 鋼筋面積 5.067 cm 2 、直徑 2.54 cm。求梁有效深度 d 、拉力鋼筋比 ρ ,及檢核拉力鋼筋總面積是否符合規範撓曲構件之最少鋼筋量的要求。