所屬科目:統測◆03電機類、04資電類◆(一)基本電學、基本電學實習、電子學、電子學實習
1. 如圖 ( 一 ) 所示, R 1 = 1 kΩ, R 2 = 3 kΩ, R 3 = 6 kΩ, d 點接地,下列何者正確? (A) (B) (C) (D)
2. 如圖 ( 二 ) 所示,若已知 R1 = 20 Ω, R1 消耗功率為 180 W, R2 消耗功率為 360 W, R3 = 60 Ω, R3 消耗功率為 60 W,則下列何者正確?
(A) E = 120 V, R4 = 60 Ω (B) E = 120 V, R4 = 30 Ω (C) E = 240 V, R4 = 60 Ω (D) E = 240 V, R4 = 30 Ω
3. 有一額定為直流 120 V,600 W 的電熱線,若修剪掉 長度並將剩下的長度兩端接於 48 V 直流電壓,則剩下 長度的電熱線消耗功率為何? (A) 80 W (B) 100 W (C) 144 W (D) 173 W
4. 如圖 ( 三 ) 所示電路,電流 I 為何? (A) 1 mA 10 kΩ (B) 3 mA (C) 5 mA (D) 6 mA
5. 如圖 ( 四 ) 所示電路,電流 I 為何?
(A) 0.5 A 20 V (B) 1 A (C) 1.5 A (D) 2 A
6. 如圖 ( 五 ) 所示電路,電流 I 約為何?(A) 0.1 mA (B) 0.9 mA(C) 1.8 mA (D) 3.6 mA
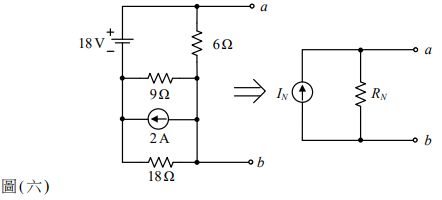
7. 如圖 ( 六 ) 所示電路,由 a、 b 兩端看入之諾頓等效電流源 及等效電阻 RN 分別為何? (A) (B) (C) (D)
10. 如圖 ( 八 ) 所示週期性電流信號 i ( t ),該信號之平均值 Iav 及有效值 Irms 分別為何? (A) (B) (C) (D)
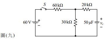
11. 如圖 ( 九 ) 所示電路, t = 0 秒前電容器電壓為零,若 t = 0 秒時將開關 S 閉合,則電容器兩 端電壓為何? (A) (B) (C) (D)
12. 如圖 ( 十 ) 所示電路, t = 0 秒前電感器儲存能量為零,若 t = 0 秒時將開關 S 由位置 1 切至位置 2,則下列敘述何者正確? (A) 流經電感器的初始電流值為 1 A 且電路時間常數為 80 ms(B) 流經電感器的初始電流值為 0 A 且電路時間常數為 80 ms(C) 流經電感器的初始電流值為 1 A 且電路時間常數為 0.2 ms(D) 流經電感器的初始電流值為 0 A 且電路時間常數為 0.2 ms
13. 如 圖 ( 十 一 ) 所示 RC 串聯交流電路 , 若電源電壓 = 200√ 2 sin(500t ) V 、 電流 = 10sin(500t + 45°) A ,則電阻 R 及電容 C 為何? (A) R = 20 Ω,C = 100 μF (B) R = 20√ 2 Ω,C = 100 √2 μF (C) R = 10 √2 Ω,C = 50√ 2 μF (D) R = 10 Ω,C = 50 μF
14. 如圖 ( 十二 ) 所示 RL 並聯交流電路,若電源電壓 = 240∠0° V ,則電流 為何? (A) (15 - j 20 ) A (B) ( 20 - j15 ) A (C) (15 + j 20 ) A (D) ( 20 + j15 ) A
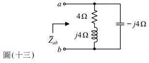
15. 如圖 ( 十三 ) 所示交流電路,其 a、b 兩端阻抗 為何? (A) 4 Ω (B) ( 4 + j 4 ) Ω (C) ( 4 - j 4 ) Ω (D) ( 4 - j8 ) Ω
16. 某單相負載端電壓 = 400sin(377t ) V ,負載電流 = 40sin(377t - 60°) A ,則下列敘述何者正確? (A) 負載的視在功率為 16 kVA (B) 負載的實功率 ( 平均功率 ) 為 8 kW (C) 負載的虛功率為 8 √3 kVAR ( 電感性 ) (D) 負載的最大瞬間功率為 12 kW
17. 如圖 ( 十四 ) 所示三相平衡電路,若線電壓有效值為 400 V、三相負載的總實功率 ( 總平均功率 ) 為 4.8 kW、功率因數為 0.6 落後,則阻抗 為何?( 備註: cos53.1° = 0.6 )
18. 如圖 ( 十五 ) 所示交流電路,電源電壓 =200 √2 sin(377t ) V ,負載 Z 為電感性負載,其視在功率為 5 kVA、實功率 ( 平均功率 ) 為 3 kW;若電源的功率因數為 1.0,則電容抗 為何? (A) 5 Ω (B) 10 Ω (C) 15 Ω (D) 20 Ω
19. 如圖 ( 十六 ) 所示電路,五色碼電阻色環依序讀取為「棕棕黑橙綠」,安培計 Ⓐ 的讀值約為何? (A) 1 A (B) 100 mA (C) 1 mA (D) 0.01 mA
20. 如圖 ( 十七 ) 所示為惠斯登電橋等效電路, 為待測電阻,若檢流計 電流 為零,則下列何者正確? (A) = 20 k Ω (B) = 200 k Ω (C) I 1 = I 2 (D) I 1 = I 4
24. 圖中串聯諧振電路之電感 及電容 值,下列何者正確? (A) = 5 mH, = 50 μF (B) = 10 mH,= 25 μF (C) = 25 mH, = 10 μF (D) = 50 mH, = 5 μF
25. 圖中串聯諧振電路穩態時電容 端電壓有效值為何? (A) 50 V (B) 150 V (C) 250 V (D) 300 V
26. 電壓 v(t ) = 6 + 8√ 2 sin(10t ) V ,則其有效值 與平均值 之比值 ( ) 約為何? (A) 1.67 (B) 1.41 (C) 1.34 (D) 1.11
27. 如圖 ( 十九 ) 所示電路,若稽納二極體 ( Zener Diode ) 之崩潰電壓 = 6 V,崩潰膝點電流 I ZK = 1 mA,最大崩潰電流 = 16 mA,忽略稽納電阻,在正常穩壓狀態下維持 V o = VZ = 6 V, 則負載電阻 RL 之最小值為何? (A) 4.7 kΩ (B) 3.5 kΩ (C) 2.4 kΩ (D) 1.2 kΩ
28. 如圖 ( 二十 ) 所示電路,若 BJT 工作於主動區,且 β = 100,切入電壓 = 0.7 V,集極電流為 2 mA,則電阻 約為何?
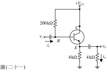
29. 如圖 ( 二十一 ) 所示電路,若 BJT 工作於主動區,β = 99,且已知基極交流電阻= 1 kΩ, 則約為何? (A) 25 (B) 50 (C) 75 (D) 100
30. 如圖 ( 二十二 ) 所示電路,若 BJT 之 β = 100,切入電壓 = 0.7 V,熱電壓 = 26 mV,則 電壓增益 約為何? (A) - 135 (B) - 115 (C) - 95 (D) - 75
33. 圖中由 輸入端看進去的輸入阻抗約為何? (A) 15 Ω (B) 26 Ω (C) 51 Ω (D) 2 kΩ
34. 圖中第二級電壓增益 約為何? (A) 1 (B) 10 (C) 15 (D) 25
35. 一個 P 通道增強型 MOSFET 的臨界電壓 = - 0.5 V,若量得各極對此電路的參考點之電壓分別為閘極電壓 = 0 V,汲極電壓 = 3.0 V 及源極電壓 = 3.3 V,則可判斷它操作在哪一區? (A) 截止區 (B) 歐姆區 (C) 飽和區 (D) 崩潰區
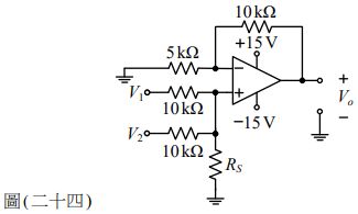
36. 如圖 ( 二十四 ) 所示理想運算放大器應用電路,在正常工作下,若 = V1 + V2,則電阻 應為何? (A) 20 kΩ (B) 10 kΩ (C) 5 kΩ (D) 2.5 kΩ
37. 如圖 ( 二十五 ) 所示理想運算放大器電路,下列敘述何者正確? (A) 此為積分電路 (B) 若為方波,則 為三角波 (C) 若 為弦波,則 的振幅與 R 及 C 值有關 (D) 若 為三角波,則 為正弦波
38. 如圖 ( 二十六 ) 所示主動式帶通濾波器,其高頻截止頻率為 ,低頻截止頻率為 ,若 C2 = 5C1, R2 = 4R1 ,則 為何? (A) 0.05 (B) 1.25 (C) 10 (D) 20
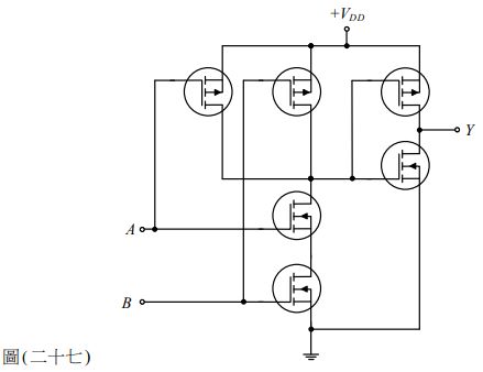
39. 如圖 ( 二十七 ) 所示數位邏輯電路,其輸出 Y 為何? (A) (B) Y = AB (C) (D) Y = A + B
40. 圖 ( 二十八 ) 所示為某邏輯電路之輸入 A、 B 與輸出 Y 的波形,若 + 為高準位 ( 邏輯 1 ) , 0 V 為低準位 ( 邏輯 0 ) ,則此邏輯電路為何? (A) 互斥或閘 (B) 及閘 (C) 反及閘 (D) 或閘
41. 如圖 ( 二十九 ) 所示電路,若 R2 = 3 R1, C2 = ,則下列敘述何者正確? (A) 此電路為韋恩電橋振盪器,當 ( R4 / R3 ) ≥ 6,則產生振盪 (B) 此電路為韋恩電橋振盪器,當 ( R4 / R3 ) ≤ ,則產生振盪 (C) 此電路為 RC 相移振盪器,當 ( R4 / R3 ) ≥ 6,則產生振盪 (D) 此電路為 RC 相移振盪器,當 ( R4 / R3 ) ≤ ,則產生振盪
45. 圖中若電阻 = 1 M Ω 且電路其他參數不變,則集極電壓約為何? (A) 6.7 V (B) 5.6 V (C) 4.5 V (D) 0.2 V
46. 有關 MOSFET 共源極 CS 組態電路與共閘極 CG 組態電路組成之疊接放大電路,下列敘述何者正確? (A) 總電壓增益小於 1 (B) 輸出電壓與輸入電壓同相位 (C) 共閘極組態電路用來提升輸入阻抗 (D) 有效減低米勒電容效應
48. 某 N 通道增強型 MOSFET 工作於飽和區,臨界電壓 = 1 V,參數 K = 2 mA / V 2 且閘 - 源極間 電壓 = 3 V,則參數互導 約為何? (A) 4 mA / V (B) 6 mA / V (C) 8 mA / V (D) 10 mA / V
49. 如圖 ( 三十一 ) 所示理想運算放大器電路,輸入電壓 = 1 V 時,分別量測到 為 - 5 V , 為 - 10 V ,則電阻 R1 及 R2 值分別為何? (A) R1 = 1 kΩ, R2 = 10 kΩ (B) R1 = 1 kΩ, R2 = 5 kΩ (C) R1 = 5 kΩ, R2 = 10 kΩ (D) R1 = 5 kΩ, R2 = 5 kΩ
50. 如圖 ( 三十二 ) 所示施密特 ( Schmitt ) 觸發器電路,其運算放大器的輸出飽和電壓為 ± 12 V, 若觸發器之下臨限電壓為 0 V,則 為何?
(A) 12 V (B) 6 V (C) 0 V (D) -12V