所屬科目:統測◆03電機類、04資電類◆(一)基本電學、基本電學實習、電子學、電子學實習
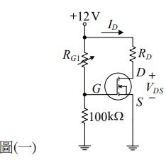
2. 如圖 ( 一 ) 所示之 MOSFET 電路,MOSFET 之臨界電壓 ( threshold voltage ) VT = 1.8 V,參數 K = 1.2 mA / V2,已選擇適當之RD使電路操作於飽和區且 ID = 10.8 mA,則 RG1 應…...調整為何? (A) 150 kΩ (B) 180 kΩ (C) 210 kΩ (D) 250 kΩ
3. 操作於飽和區之JFET放大電路,其IDSS= 6mA,夾止電壓( pinch - off voltage )VP = – 3 V, 若電路工作點之VGS=–2V,則此時電路之互導gm約為何? (A) 1.21mS (B) 1.33mS (C) 1.82mS (D) 2.43mS
4. 如圖 ( 二 ) 所示之 MOSFET 放大電路,已知 MOSFET 之臨界電壓 VT = 1.5 V,參數 K = 2mA / V2。若VDD = 15 V,RG1 = 300 kΩ,RG2 = 60 kΩ,RS = 1 kΩ,RD = 10 kΩ,則 此電路之交流信號電壓增益vo / vi為何? (A) 7.4 (B) 15.6 (C) 20 (D) 24
5. 如圖 ( 三 ) 所示之 JFET 放大電路,已知 JFET 之夾止電壓 VP = – 2 V, I DSS = 6 mA。 ….若 VDD=9V,RG =1.2MΩ,RS=2kΩ,則此電路之交流輸出阻抗Zo為何? (A) 2 kΩ (B) 1.2 kΩ (C) 0.6 kΩ (D) 0.4 kΩ
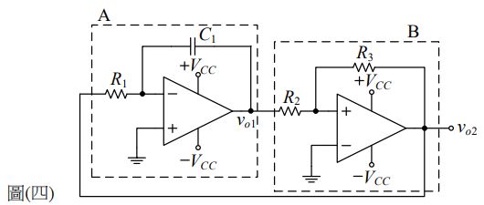
7. 如圖(四)所示之振盪器電路,下列敘述何者正確? (A) 方塊A之OPA電路功能為微分電路 (B) 方塊B之OPA電路功能為積分電路 (C) vo2之輸出為方波 (D) vo1之輸出為弦波
8. 如圖(五)所示之電路,VCC =15V,R1=20 kΩ,R2=100 kΩ,OPA飽和電壓Vsat=13.5V, 則磁滯( hysteresis)電壓為何? (A) 3.2V (B) 4.8V (C) 5.4V (D) 7.8V
9. 如圖 ( 六 ) 所示為 BJT 共基極放大電路之小信號等效電路模型,於室溫下之熱電壓 (thermal voltage )VT=26mV,工作點之IC =0.26mA,α 約為1.0,下列敘述何者錯誤? (A) re約為100Ω (B) 電壓增益Av=vo/vi約為150 (C) 輸入阻抗Zi約為6 kΩ (D) 電流增益Ai=io/ii約為1
10. 如圖(七)所示之理想箝位電路和輸入波形 vi,其穩態輸出波形vo為何? (A) (B) (C) (D)
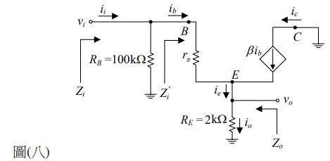
11. 如圖 ( 八 ) 所示為 BJT 共集極放大電路之小信號等效電路模型,若 β = 100,直流偏壓 IB =0.1mA,熱電壓VT=26mV,則下列敘述何者錯誤? (A) 電壓增益Av=vo/vi約為1 (B) rπ約為260Ω (C) 輸入阻抗Zi約為66kΩ (D) 電流增益Ai=io/ii約為100
12. 如圖 ( 九 ) 所示為 BJT 共射極放大電路之小信號等效電路模型,若 β = 99,直流偏壓 IB = 0.01mA,熱電壓VT=26mV,則下列敘述何者錯誤? (A) 電壓增益Av=vo/vi約為 – 1.5 (B) rπ約為2.6 kΩ (C) 輸出阻抗Zo約為3 kΩ (D) 電流增益Ai=io /ii約為 – 20
13. 如圖(十)所示之理想二極體電路,當輸入波形為vi時,輸出波形vo為何? (A)(B) (C) (D)
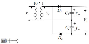
14. 如圖 ( 十一 ) 所示之理想二極體電路,若輸入弦波電壓 vi 的有效值為 110 V 且兩電容器值適當,則輸出電壓Vo約為何? (A) 11V (B) 31V (C) 22V (D) 15.5V
15. 如圖 ( 十二 ) 所示之理想二極體電路,若輸入正弦波電壓 vi之有效值為 110 V,若 D1、 D4 燒毀時呈現斷路狀態,則輸出波形vo為何? (A) (B) (C) (D)
16. 如圖 ( 十三 ) 所示之稽納 ( Zener ) 二極體電路,其逆向崩潰電壓為 6 V, PZ為稽納二極體消耗功率,PL為負載RL功率,則下列何者錯誤? (A) IL=0.3A (B) IR =0.3A (C) PL=0.9W (D) PZ =2.7W
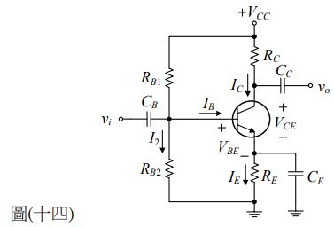
19. 如圖(十四)所示之電晶體直流偏壓電路,下列敘述何者正確? (A) 為共射極固定偏壓電路 (B) 為共集極固定偏壓電路 (C) 為共射極分壓偏壓電路 (D) 為共集極分壓偏壓電路
20. 如圖 ( 十五 ) 所示之電晶體直流偏壓電路,若 VBE = 0.7 V,β = 200, VCC = 10 V,RB =300 kΩ,RC =1kΩ,則其直流工作點IC與VCE之值各約為何? (A) IC =0.5mA、VCE =9.5V (B) IC =1.7mA、VCE =8.3V (C) IC=2.5mA、VCE =7.5V (D) IC=3.7mA、VCE =6.3V
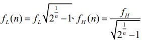
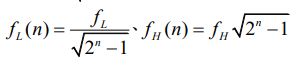
21. 單級放大電路的低頻截止頻率為 f L,高頻截止頻率為 f H,若將完全相同的放大電路串接成n級時,則其低頻截止頻率fL(n),高頻截止頻率f H(n),下列何者正確? (A) (B) (C) (D)
24. 如圖(十六)所示為具有抑制高頻增益之微分電路,若R1=1 kΩ,C=0.1μF,R2=100kΩ, 則其低頻截止頻率fL約為何? (A) 16Hz (B) 1 kHz (C) 1.6 kHz (D) 1MHz
25. 如圖(十七)所示電路,若R1 = 2 k Ω,R2 = 20 k Ω,R3 = 3 k Ω,R4 = 30 k Ω,Va = – 0.3V, Vb=0.2V,則輸出電壓Vo為何? (A) 5V (B) – 5V (C) 10V (D) – 10V
30. 如圖 ( 十八 ) 所示電路,若開關 S 閉合前,電容器無儲存能量。 S 於時間 t = 0 時閉合,則 在 S 閉合瞬間(t=0 )和電路穩態(t=∞),I 分別為何? (A) 0.46mA,1mA (B) 1.25mA,2mA (C) 1.25mA,0.46mA (D) 1mA,1.25mA
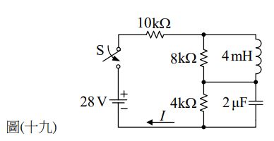
31. 如圖 ( 十九 ) 所示電路,若電感器、電容器於開關 S 閉合前皆無儲存能量,則 S 閉合後之 電流I 的穩態值為何? (A) 1.27mA (B) 1.56mA (C) 2mA (D) 2.8mA
32. 如圖(二十)所示電路,若v(t)=121.2cos(1000t)V,i(t)=12.12sin(1000t)A,則下列何者正確? (A) Z 為電阻,其值為10Ω (B) Z 為電容,其值為100μF (C) Z 為電感,其值為10mH (D) Z 為電容,其值為10μF
33. 如圖(二十一)所示電路,若,則下列敘述何者正確? (A) (B) (C) 電路呈電感性 (D)
36. 用於室內配線之銅導線,在室溫 t1oC 下,長為 米、直徑為 D 毫米、電阻係數為pΩ•m、推論絕對溫度為– 234.5oC,下列敘述何者正確? (A) 其等效電阻值為 (B) 若導線被剪掉四分之一長度,則其等效電阻值變為 (C) 若導線被均勻拉長為原來的N 倍(體積不變),則其等效電阻值變為 (D) 若室溫上升為t2oC,則其等效電阻值變為
37. 如圖(二十二)所示電路,若電源Vs提供40mW功率,且V1=0.25Vs,則下列何者正確? (A) Is=2mA (B) Vs=20V (C) R=10 kΩ (D) R 消耗20mW功率
38. 如圖(二十三)所示電路,20Ω 電阻消耗20W功率,下列何者正確? (A) 5Ω 電阻消耗10W功率 (B) Vx=12V (C) I=1A (D) R=10Ω
39. 如圖(二十四)所示電路,若A、B、C、D、E為理想的電路元件,則下列敘述何者正確? (A) 元件A供應280W 功率 (B) 元件B消耗60W 功率 (C) 電路元件總供應功率為300W (D) 電路元件總消耗功率為270W
40. 如圖(二十五)所示電路,求Req為多少? (A) (B) (C) (D)
41. 如圖(二十六)所示電路,R1=2Ω、R2=R3=R7=12Ω、R4=10Ω、R5=4Ω、R6=6Ω, 下列敘述何者正確? (A) I1+I2+I3=3A (B) R3所消耗的功率為9W (C) Vx=6V (D) 由a、b兩端所看入之諾頓(Norton )等效電流為6A
42. 如圖(二十七)所示電路,下列敘述何者正確? (A) 2.5A電流源供應5W功率 (B) 12V電壓源供應10W功率 (C) Vx=12V (D) 四個電阻共消耗40W功率
43. 有一部 8 極的正弦波發電機,線圈轉速為750 rpm,若輸出電壓的有效值為 110 V,則其輸出電壓波形為何? (A) (B) (C) (D)
44. 如圖(二十八)所示的電壓波形,其平均值為 V1,有效值為V2,則V2 / V1的比值為何? (A) 1 (B) 2 (C) 5 (D) 10
45. 將交流電壓電源與50μF電容器串聯,下列敘述何者錯誤? (A) 瞬間功率的最大值為100W (B) 瞬間功率的角頻率為200 rad /s (C) 平均功率為0W (D) 電壓相位落後電流相位90 °
46. 如圖 ( 二十九 ) 所示 RLC 並聯電路,電源電壓,若 I 1 的電流大小為10A,IC的電流大小為8A,則電路的功率因數為何? (A) 0.5 (B) 0.707 (C) 0.886 (D) 1
47. 如圖(三十)所示之RLC串聯電路,若電流i(t)與電源電壓v(t)同相位,則i(4π)之電流值為何? (A)-20A(B)20A(C)(D)
48. 如圖 ( 三十一 ) 所示之 RLC 並聯電路,若電路之功率因數為 1 及消耗的平均功率為 25 W, 則電路的品質因數為何?(A) 5 (B) 2 (C) 1.414 (D) 1
49. 如圖(三十二)所示單相三線電路,設備A及B為純電阻性負載,電阻值皆為2Ω,於負載 B端發生短路故障,短路電流I2之值約為何? (A) 660.3A (B) 588.4A (C) 384.7A (D) 76.7A
50. 如圖(三十三)所示之三相電路,求線電流之值為何? (A) (B) (C)20∠-90° (D)20∠90°