阿摩線上測驗 登入

試題詳解

試卷:109年 - 109 四技二專統測_電機與電子群電機類、電機與電子群資電類_專業科目(一):電子學、基本電學#85155 | 科目:統測◆(一)電子學、基本電學

試卷資訊

試卷名稱:109年 - 109 四技二專統測_電機與電子群電機類、電機與電子群資電類_專業科目(一):電子學、基本電學#85155

年份:109年

科目:統測◆(一)電子學、基本電學

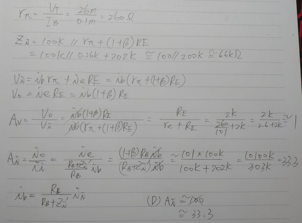
11. 如圖 ( 八 ) 所示為 BJT 共集極放大電路之小信號等效電路模型,若 β = 100,直流偏壓 IB =0.1mA,熱電壓VT=26mV,則下列敘述何者錯誤?
5eb214a6ebe78.jpg
(A) 電壓增益Av=vo/vi約為1
(B) rπ約為260Ω
(C) 輸入阻抗Zi約為66kΩ
(D) 電流增益Ai=io/ii約為100

正確答案:登入後查看