所屬科目:研究所、轉學考(插大)-微積分
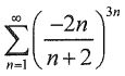
7. Which of the following 3 series is/are bounded?__(7)__(A)(B)(C)
8. Which of the following 3 series is/are convergent?__(8)__(A) (B)(C)
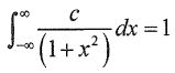
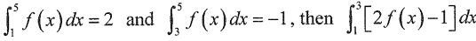
3. The valuc of is__(3)__.
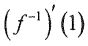
4. If=__(4)__.
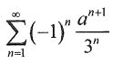
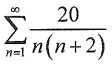
5. Write down the range of a, which makes the series converge. __(5)__
6. If is the Taylor polynomial of order 4 generated by at 0, then the constant in front of x4, c4=__(6)__.
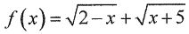
9. The domain ofis__(9)__.
10. If f(x)=x+cosx,then=__(10)__.
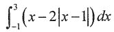
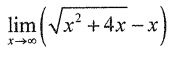
4. The value of equals__(4)__.