所屬科目:研究所、轉學考(插大)-微積分
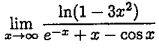
●=__(1)__.
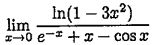
●=__(2)__
3. (10%) Consider the curve given by the equation. Find an equation of the tangent line at the point (4,8). __(5)__. Find at the point (4,8). __(6)__.
9. (10%) Sketch the curve y = . Label the following information: (a) Intervals of In- crease/Decrease (b) Concavity (c) Local Extreme.