題組內容
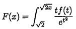
4. (10%) Let f be a smooth function and F(x) =
dt .
Find F'(x). (7) . (Your answer would contain f)
Suppose that
. Solve the integral equation for f.__ (8)__
4. (10%) Let f be a smooth function and F(x) =
dt .
Find F'(x). (7) . (Your answer would contain f)
Suppose that
. Solve the integral equation for f.__ (8)__