所屬科目:工程數學(應用數學, 線性代數、微分方程、複變函數與機率)
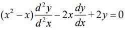
一、 y1 = x 為之一解,試求其通解。(15 分)
二、試求 F ( s ) = 之反拉普拉斯轉換(Inverse Laplace Transform)f (t)。
(一)
(二)
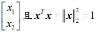
(二)令,試求Ax 之最小值與最大值。(10 分)
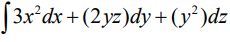
五、(一) 已知向量函數, 試求其散度 (Divergence)與旋度(Curl) 。
(二)試求從點:(0,1,2)至點:(1,-1,7)之線積分(10 分)