所屬科目:教甄◆數學
3.試問有多少組整數數對 (a,b) 滿足? (A)6 (B)7 (C)8 (D)9
4.下面哪一個數最大? (A) (B) (C) (D)119
5.若實係數二次函數f(x)=ax2+bx+c滿足f(1)=f(9)>f(10),則下列哪一選項是正確的? (A)f(3)<f(8) (B)f(0)<f(11) (C)b2>4ac (D)ab<0
6.某立體由一些單位方塊推砌而成,其上視圖、前視圖、右視圖如下所示。 (A)9 (B)10 (C)11 (D)12
10.已知數列中每連續四項的和均為55 。若 ,則= ? (A)3 (B)15 (C)18 (D)19
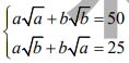
12.若兩正數a,b滿足,則 ab 之值為何? (A)25 (B) (C) (D)
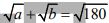
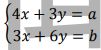
13.使得二元一次聯立方程式,的解(x,y)滿足x+y為整數的正整數 a、b中,2a+b的最小可能值為多少? (A)7 (B)9 (C)11 (D)13
15.下圖是用10塊長方體磚塊砌成一近似圓形的牆面,每塊長方體的長邊為1單位,相鄰兩塊磚之間固定夾36° 角,試問此近似圓形牆面內部所能容納最大圓形的半徑是多少單位? (A)2tan18° (B)2cot18° (C) (D)
16.某銷售公司的固態硬碟(SSD)是委由 AB, 兩家工廠所製造,其中60% 是由 A 廠生 產,另40% 是由 B 廠生產。根據統計, A 廠生產的硬碟中有5% 是瑕疵品,而 B 廠生產的硬碟中有3% 是瑕疵品。若公司抽驗發現到瑕疵的硬碟,則該硬碟是由 A 廠生產的機率為何? (A) (B) (C) (D)
17.若某直角三角形有一股長為7 ,且其內切圓的面積為4π,則此三角形的面積為何? (A) (B) (C) (D)
19.在△ABC中,,且B在上的垂足點為 D 。若 E 為的中點, F 為上一點,且=6 ,則的長度為何? (A)5 (B)6 (C)7 (D)8
20.某校7 個班各派出2 位學生組成學生會。若要從這14 位學生中任選出4 位參加校務會議,則這4 位會議代表都來自不同班級的機率為何? (A) (B) (C) (D)
22.設f(x)為實係數三次多項式函數,滿足(x+1)f(x)除以x3+x2+x+1的餘式 為x2−1 。若 f(0)=1 且 f(-1)=0 ,則 f(1)= ? (A)6 (B)7 (C)8 (D)9
23.坐標平面上,有兩定點。若點在軸上移動,則的最大值為何? (A)2 (B) (C) (D)
24.全校300 名學生某次考試的國文成績 X 與英文成績 Y 有正相關,其關係可用迴歸直 線 Y=a+b(X−65) 表示,且相關係數為= 0.75。已知全校國文的平均分數為65 分、標準差9 分,而英文的平均分數為50 分、標準差12 分,則 a+b= ? (A)51 (B)53 (C)55 (D)57
25.坐標平面上有一拋物線y=x2-2x-3。一質點自A(0,1)出發,到達x軸上某一點 B後,再到拋物線對稱軸上的點C,最後到達點D(0,3)。試問此質點所走的最短路徑的長度為何? (A)4 (B) (C) (D)
26.若分數化成小數後的整數部分為 m,則 m 除以100 的餘數為何? (A)24 (B)25 (C)26 (D)27
27.在△ABC中,已知∠B=2∠C,且上一點滿足。若∠BAD=72°,則∠CAD ? (A)25° (B)26° (C)27° (D)28°
28.如下圖,已知∠ABD=∠DEC=90°、∠BAD=30°、 ∠DCE=45°、=40。則的值最接近下 面哪一個數? (A)22 (B)24 (C)26 (D)28
29.已知三角形ABC的三邊長。在此三角形內部找一點B ′ 使得BB′為∠B的角平分線,且∠AB′B=90°;並在此三角形內部找另一點C ′使得 CC′為∠C的角平分線,且∠AC′C=90°。則長度為何? (A)24 (B)25 (C)26 (D)27
30.有一個直圓錐,其底面圓的半徑和其高等長。請問做哪一種變換後,所產生的新直圓錐的側表面積最大? (A)底半徑不變,高變為原來的2.5倍 (B)底半徑變為原來的1.5倍,高不變 (C)底半徑變為原來的1.1倍,高變為原來的2倍 (D)底半徑不變,高增長使得側面展開的扇形角度變為原來的倍
31.下圖是某校某次段考學生數學成績的累積相對次數折線圖,中間有一部分被墨水塗汙,只知道90~100分的有80人,70~80分的人占全校的23%,請問60~70分的 有多少人? (A)23 (B)28 (C)45 (D)60
32.已知某群資料的盒狀圖如下所示。 請問這群資料的累積相對次數分配折線圖最有可能是下列哪一個圖 形? (A)(B) (C)(D)
37.在邊長為7的正方形區域內找三點A、B、C,其內積的最小可能值最接近 下面哪一個數? (A)−24.11 (B)−24.33 (C)−24.55 (D)24.77
39.如果二階方陣A=滿足,則 a2+b2+c2+d2為下面哪一個值? (A)18 (B)21 (C)23 (D)26