所屬科目:教甄◆數學
1. 在海賊王卡通中,吃過惡魔果實的人數佔全部的,有自 己海賊船的人數佔全部的 ,又已知吃過惡魔果實且有自 己海賊船的人佔全部,則兩個都沒有的人數的佔全部人 數的幾分之幾? (A) (B) (C) (D)
3. 有一個 11 項的等比數列,則下列哪一個選項恆 成立? (A) a1 × >0 (B) a1 × a9 > a2 × (C) a3 < 0 (D) a3 × a4 = a1
4. 下列何者的個位數字是 3 ? (A) (B)(C) (D)
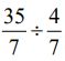
7. 算式=8...□,□中應該是多少? (A) (B) (C) 3 (D) 1
8. 羅賓到超市買了一包軟糖回家,喬巴、騙人布、魯夫陸續 回家。羅賓先吃了 ,喬巴也吃了剩下的 ,騙人布吃了 剩下的 ,魯夫也吃了剩下的 ,最後只剩下16顆。請問 這一包軟糖原來有幾顆? (A) 104 (B) 100 (C) 81 (D) 52
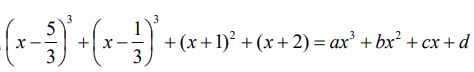
9. 多項式對 任意實數x恆成立。試問a + b + c + d 之值為何? (A) (B) 7 (C) 35 (D)
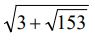
10. 若a =,則a介於哪兩個整數之間? (A) 1和2 (B) 2 和3 (C) 3和4 (D) 4 和5
23. 如圖,平行四邊形 ABCD 的底邊是 20 公分,直角三角形 BCE 的 BE=11 公分,鋪色部分的面積比斜線部分的面積 多 70 平方公分,則 BF 是幾公分?
(A) 2 (B) 3.5 (C) 7 (D) 9