阿摩線上測驗
登入
首頁
>
教甄◆數學
>
111年 - 111 臺北市立大學修習教育學程甄試:數學#107687
> 試題詳解
9. 多項式
對 任意實數x恆成立。試問a + b + c + d 之值為何?
(A)
(B) 7
(C) 35
(D)
答案:
登入後查看
統計:
A(40), B(191), C(36), D(68), E(0) #2913825
詳解 (共 4 筆)
黃意婷
B3 · 2022/05/07
#5447324
(共 1 字,隱藏中)
前往觀看
20
0
Chen Chen
B4 · 2022/05/07
#5448095
(共 1 字,隱藏中)
前往觀看
10
0
Ling
B2 · 2022/05/05
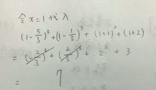
#5445961
7
0
ʕ•ﻌ•ʔฅYen(112上岸)
B5 · 2022/05/26
#5480010
2
0
私人筆記 (共 1 筆)
Sophiawchen
2022/06/14
私人筆記#4248821
未解鎖
(共 0 字,隱藏中)
前往觀看
2
0
相關試題
10. 若a =,則a介於哪兩個整數之間? (A) 1和2 (B) 2 和3 (C) 3和4 (D) 4 和5
#2913826
11. 將「會考我上」中相鄰的「考」和「我」交換後成「會我 考上」,再將相鄰的「會」和「我」交換就還原成「我會 考上」,共相鄰交換 2 次。將「上考會我」還原成「我會 考上」至少要相鄰交換幾次? (A) 3 (B) 5 (C) 6 (D) 不可能做到
#2913827
12. 王先生每天以快步走和慢跑來回於家裡和公司之間。上 班時先以一半的時間慢跑而一半的時間快步走,下班時 則是一半的路程慢跑而一半的路程快步走。如果他快步 走和慢跑的速度每天都維持穩定,而且慢跑的速度比快 步走快,那麼他上、下班所花的時間哪個比較長? (A) 上班 (B) 下班 (C) 上下班一樣 (D) 不一定
#2913828
13. 公司到貓空旅遊,去程有 15 人搭纜車,回程有 17 人搭 纜車,去回都搭纜車的有 8 人。請問只搭單程纜車的有 幾人? (A) 15 (B) 16 (C) 17 (D) 24
#2913829
14. 經理說:「公司從四月一日起實施線上諮詢系統已經一個 多月了,中間休假和系統維修等停止服務 12 天,這個系 統到今天總共服務了 40 天。」請問今天是幾月幾日? (A) 5月20日 (B) 5月21日 (C) 5月22日 (D) 5月23日
#2913830
複選題15. 簡易數字鐘是用 7 隻 LED 棒,以 3 橫 4 直的方向排成 「日」字形來顯示 0~9 的數字。如果最下方的橫棒壞掉了,有幾個數字無法完整顯示? (A) 5 (B) 6 (C) 7 (D) 8
#2913831
16. 3D 影像館前很多人在排隊等候進場,小明排在小華之前 五個,也是小圓之後五個,那麼小華和小圓之間隔了幾個 人? (A) 8 (B) 9 (C) 10 (D) 11
#2913832
17. 下列哪個容量(ml)無法用一個 500ml 和一個 200ml 的杯 子以至多倒水兩次量出來? (A) 100 (B) 200 (C) 300 (D) 500
#2913833
18. 某餐廳結帳時會加收餐點金額一成的服務費,而持常客 卡可以打九折。下列關於先打折或是先加成比較便宜的 說法何者正確? (A) 先打折再加成比較便宜 (B) 先加成再打折比較便宜 (C) 先打折和先加成結果是一樣的 (D) 不一定,先打折還是先加成比較便宜會因餐點價格 的不同而不同
#2913834
19. 啦啦隊表演有 6 個隊伍參加,每一隊的表演時間是 6 分 30 秒,隊與隊之間有 2 分 30 秒的換場時間。第一隊開始 表演的時間是下午 1 時 10 分,第 6 隊開始表演的時間是 什麼時候? (A) 下午 1 時 53 分 (B) 下午 1 時 55 分 (C) 下午 2 時 1 分 30 秒 (D) 下午 2 時 4 分
#2913835
相關試卷
115年 - 115 臺北市公立國民小學教師聯合甄選初試基礎類科知能試題:數學#139894
2026 年 · #139894
115年 - 115 教育部受託辦理公立高級中等學校教師甄選試題:數學科#139603
2026 年 · #139603
115年 - 115-1 國立彰化高級中學_教師甄選試題:數學科#139364
2026 年 · #139364
115年 - 115 臺北市立南港高級中學_正式教師甄選_高中數學科#139341
2026 年 · #139341
115年 - 115-1 新北市立板橋高級中學_正式教師甄選試題:數學科#139339
2026 年 · #139339
115年 - 115-1 臺北市立南湖高級中學_正式教師甄選試題:數學科#139253
2026 年 · #139253
115年 - 115 國立屏東大學_各師資類科教育學程甄選試題:數學#139246
2026 年 · #139246
115年 - 115 臺北市立陽明高級中學正式教師甄選試題:高中數學科#139228
2026 年 · #139228
115年 - 115 新北市公立高級中等學校_教師聯合甄選試題:數學科#139227
2026 年 · #139227
115年 - 115 臺北市立內湖高級工業職業學校_正式教師甄試:數學科#139221
2026 年 · #139221