所屬科目:水文學
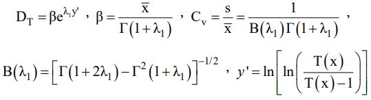
一、已知我國某地下水分區於沿海一帶過去15年的年最低地下水水位(相 對平均海平面高程)紀錄如下: 倘若此地下水分區的年最低地下水水位符合Gumbel分布(極端值分布 第三類第一型) ,試推導重現期距為30年的年最低地下水水位。假設你 是當地地方政府地下水水權核發人員,且已知該地下水分區的年最低地 下水水位需維持在1m以上,才不會影響該地下水水分區的水文地質環 境,請問你推導出的重現期距在30年的年最低地下水水位是否會影響 你的轄區地下水水文環境,若是會影響,你有何建議作法?(20分) (相關公式如下: 上述為重現期距為T年之年最低地下水水位,x為改化變量 ,β為特徵年最低地下水水位,λ1為待定常數(為年最 (reduced variate) 低地下水水位為0時之λ1值) ,為紀錄年最低地下水水位之平均數,s 為紀錄年最低地下水水位之標準偏差,為紀錄年最低地下水水位之變異係數, Γ(1 + λ1 ) 與 Γ (1 + 2λ1 ) 為伽瑪函數, y ' 為年最低地下水水位頻率之改化變量。)
二、已知濁水溪某個水文站觀測洪水事件的發生間隔呈現指數分布 (ExponentDistribution),若該水文站過去長年觀測的洪水事件間隔為 0.8、3.6、5.1、7.5、18.9、3.2、5.3、30.5、6.2、45.2、1.1、2.3、27.3、 4.6、8.7、16.4、20.3、15.2、13.6、9.7天,試求該水文站觀測洪水事件 發生間隔時間大於21天的機率。(指數分布的機率密度函數為,其中y為事件的發生間隔時間,λ為參數) 。(20分)
(二)試求Φ指數。(10分)
(四)假設該農場的入滲率符合Horton入滲率公式,且在此次降雨的損失雨 量以入滲為最大,其餘的損失可以忽略,且Horton公式的最終入滲容 量(final infiltration capacity)為1mm/hr,其時間常數(time constant) (或經驗常數,empirical constant)為。試求Horton入滲率公式 的起始入滲容量(initial infiltration capacity)。(20分)