所屬科目:技檢◆測量-地籍測量-甲級
3. 依「基本測量實施規則」之作業規範,以精密導線測量方法實施加密控制測量,經方位角平差計算後,位置閉合差不得超過若干?(K 為導線長度之公里數)(A) (B) (C)1.0m(D) 。
42. 依「基本測量實施規則」規定,以精密導線測量方法實施加密控制測量之方位角閉合差不得超過多少?(N 為測站數)(A)(B)(C)(D)。
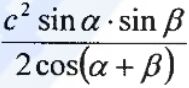
54. 已知三角形兩角為∠α 及∠β,夾邊為 c,其面積計算公式為(A)(B) (C)(D) 。
62. 圓周長I=2πr,圓面積A=πr2 ,r=8.72±0.05m ,求圓周長之最或是值及其標準誤差,下列哪些正確?(A)l=54.70m(B)標準誤差為±0.031m(C)標準誤差為±0.31m(D)l=5.470m。