所屬科目:教甄◆化學專業/化工科
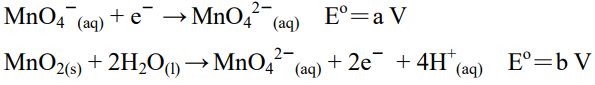
10. 已知標準狀態下: 試問 Eo=_______ V
14. 試判斷之形狀,並以混成軌域的觀點解釋。
(1) c 譜線的能量對 d 譜線的能量之比值(即)為何?
(1)請寫出表中①②③④與甲比較的變化(上升、下降或不變)?
(2)請寫出表中⑤⑥⑦⑧與乙比較的變化(上升、下降或不變)?
(3)請寫出表中與丙比較的變化(上升、下降或不變)?
(1) 試計算出的濃度平衡常數。
(1) 請問溶液中需低於多少 M 才不會產生 FeS 沉澱?
(2) 欲使溶液中 FeS 全部溶解,溶液的需高於多少 M?