所屬科目:土壤力學
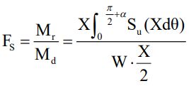
四、如下圖所示,於飽和黏土中進行開挖,地下水位在地表,外側有地表載重 20 kN/m2,試依「建築物基礎構造設計規範」分析此開挖支撐系統之 抗隆起安全係數為多少?(25 分)
(註: ,並請注意不排水剪力強度 Su 單位之換算)