所屬科目:公職◆渠道水力學
一、有一矩形渠道,如下圖所示,其矩形斷面渠寬 4 m,流量 12 m3/s,斷面 1 為閘門上游,緊鄰閘門下游之斷面 2 出流水深 h2 = 0.56 m,斷面 3 至斷 面 4 為漸縮段,渠寬由 4 m 逐漸窄縮為 2 m,假設渠道摩擦力可忽略, 試求斷面 1 至斷面 4 之水深(y1、y2、y3、y4)分別為若干?(25 分)
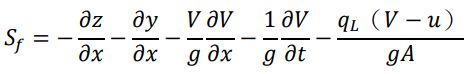
三、一維渠流動量方程式可表示如下:式中=摩擦坡降、x為渠流方向、t為時間、z=底床高程、y=水深、A=通水斷面積、V=斷面平均流速、=單位渠長側入流、u為之 方向速度分量、g=重力加速度。今有一渠段長度 800 m,上游邊界斷面 入流 600 m3/s、通水面積 290 m2、潤周 180 m、水位 113.25 m,下游邊界斷面通水面積 335 m2、潤周 205 m、水位 112.63 m,已知 = 0.1 m2/s、 = 0.55 m/s。試利用上述動量方程式估算此渠流之平均摩擦坡降,並求此渠段之平均曼寧係數 n。(25 分)