所屬科目:教甄◆理化專業
6. 一質點作簡諧運動,其週期為 8 秒。 在 t = 0 時,質點處於平衡位置。質點在第 1秒和第 2 秒內運動的距離之比為何? (A)1/2 (B) (C)(D)
23. 某人依稀記得有一張黑體輻射的數據圖,如下圖所示;但是不記得坐標軸所代表的物理量;則下列何者是最可能的坐標軸物理量?(A)縱軸是黑體的輻射率 (B)縱軸是黑體輻射光的週期 (C)橫軸是黑體輻射光的頻率 (D)橫軸是黑體輻射光的波長
26.圖為四種不同鹽類在水中的溶解度曲線,試問何種鹽類最容易以再結晶法獲得?(A)(甲) (B)(乙) (C)(丙) (D)(丁)
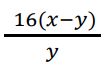
28. 某金屬的原子量為 w,若取三價金屬之氧化物 x 克,將其完全還原後,可得 y 克金屬。試問該金屬的原子量 w 可以用下列的哪一式子表示?(A)(B)(C)(D)
47. 甲基丙烯酸甲酯的結構如下,將圖中 a、b、c 三個鍵角由大至小排列,何者正確?(a、b、c 各為 H-C-H、H-C=C、C-O-C 之鍵角)(A)a>b>c (B)b>a>c (C)c>a>b (D)c>b>a
48. 有一高分子的結構式如下:下列有關此高分子的敘述,何者錯誤?(A)此高分子可經由加成聚合反應而製得 (B)此高分子可使溴水褪色 (C)此高分子不能使酸性 KMnO4 溶液褪色 (D)此高分子在酸性條件下可以發生水解