所屬科目:(工業)安全工程
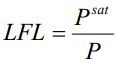
三、異丙醇(IPA)為半導體光電產業常使用的有機溶劑。已知異丙醇的閃火點為12℃,求異丙醇的燃燒下限(LFL)?其中,異丙醇的蒸氣壓(bar) 與溫度(K)的關係如下:(25分)
Hint:燃燒下限(LFL)和閃火點下飽和蒸氣壓的關係為: