所屬科目:教甄◆理化專業
46. 過氧化氫的水溶液與過錳酸鉀酸性溶液或二氧化錳固體反應,皆會產生氧氣及水。前者的反應方程式為H2O2+MnO4-+H+→Mn2++O2+H2O,後者為自身氧化還原反應。關於上述兩個反應的敘述,何者正確?(A)兩個反應中的還原劑皆為 H2O2(B)前者催化劑為 H+ ,後者為MnO2(C)前者生成物O2是由MnO4−所釋出,後者是由MnO2 釋出(D)前者生成物 H2O 是由MnO4−所釋出,後者是由 MnO2 釋出
47. 已知聲速在空氣中約為 340 m/s,在水中約為 1500m/s。如右圖所示,有一聲波自海面上向海底方向傳出,已知該聲波會在海面及海底反射,且海面上方波源處收到兩次反射波的時間差為 6 s。試問海水深度 H 約為多少?(A) 1000 m (B) 2000 m (C) 4500 m (D) 9000 m
48. 如右圖所示,一個行李箱置於非光滑地面上,甲、乙兩人分別嘗試用兩種施力方式推動此行李箱。假設兩人施力大小相同,甲朝右下方給予推力,乙朝右上方給予拉力,方向如兩箭頭所示。已知兩人施力方向都與鉛直線夾 45 度角。試問何者推動行李箱的速度比較快,理由為何?(A)甲、乙一樣快,因為兩種方式都一樣會受到摩擦力作用 (B)甲比較快,因為垂直分量為向下推力,增加了行李箱置於地面的正向力 (C)乙比較快,因為垂直分量為向上拉力,減低了行李箱置於地面的正向力 (D)甲、乙一樣快,因為兩者水平分力相同
49. 實驗桌上有材質相同,但體積大小不同的X、Y兩金屬塊。測量 X 金屬塊的質量、體積,記錄於質量 (m) 對體積 (V)的關係圖上的 P 點,如右圖所示。若另取體積較大的 Y 金屬塊,作相同的測量,其質量與體積數據的對應點,最可能是圖上的哪一點?(A) A 點,因為兩者的密度相同,會是同一條通過原點的斜直線 (B) B 點,因為體積較大的乙金屬塊,質量也會較大 (C) C 點,因為體積較大的乙金屬塊,會在 P 點的右側 (D) D 點,因為體積較大的乙金屬塊,質量較大,會在P點的上方
50. 有甲、乙兩個相同的小燈泡。已知小燈泡的電流與電壓關係如圖所示。將兩燈泡甲、乙串聯,接直流電源形成迴路,若通過電源的電流為 0.20 A,電源提供的功率為P1;將甲乙並聯,接 3.0 V的直流電源形成迴路,則電源提供的功率為P2,則P1:P2為何?(A) 1:4 (B) 1:5 (C) 2:5 (D) 4:5
52. 右圖是甲、乙、丙、丁、戊五種物質的質量與體積量測數據分布圖,試問這些物質的密度大小順序為下列何者?(A)甲 > 乙 > 丙 > 丁 > 戊 (B)丙 > 甲 > 丁 > 乙 > 戊 (C)戊 > 乙 > 甲 > 丁 > 丙 (D)戊 > 乙 > 丁 > 甲 > 丙
59. 如右圖所示,有一滑車承載砝碼 (合計質量為 X 公斤) ,以細繩連接。此繩跨過滑輪後,另一端懸吊質量為 Y 公斤的砝碼。此滑車可自由在無摩擦桌面移動。在實驗設計中,系統總質量 (X+Y) 保持固定。我們可以逐步將砝碼由滑車移至懸吊處,藉以增加質量 Y。將懸吊砝碼 Y 由靜止釋放,同時並量測滑車的加速度 a,以及細繩張力 T。已知細繩質量不計,與滑輪無摩擦力產生。試問加速度 a 對質量 Y 的數據關係圖應為以下何者?(A) (B) (C) (D)
60. 承上題,試問細繩張力 T 對質量 Y 的數據關係圖應為以下何者?(A) (B) (C) (D)
61. 如圖所示的電路中,電源電動勢 ε=l0 V,內電阻不計;燈泡 L1 的電阻為 3 Ω,燈泡 L2 的電阻為 1 Ω, ab之間的總電阻 R= 4 Ω,當可變電阻的接點由 a 向 b點移動時,燈泡 L1 亮度變化的敘述以下何者正確? (A)先變暗再變亮 (B)先變亮再變暗 (C)持續變暗 (D)持續變亮
62. 如圖所示,邊長為 d 的正三角形 ABP,A、B兩頂點通過同大小的電流,A 點流入,B 點流出,Q 為 AB 中點,則 P、Q 兩點的磁場大小之比為?(A) 1:4 (B) 1:2 (C) (D)
63. 一個質點自水平地面朝右上方斜向拋射,在最高點時,突然爆裂為質量相等的甲、乙兩質點,如圖所示。爆裂之後乙循原路徑回落到原拋射點。若忽略空氣阻力,則爆裂瞬間甲與乙速率的比值為?(A)(B) 1(C) 2 (D) 3
64. 圖為在水平面上的高架工作車示意圖,車體質量為 m (不含支架),質心恰在前輪軸正上方,前後輪軸間距為 a 。均質支架質量為 ,支架底端的支點恰在後輪軸正上方。支架頂端工作臺與人員總質量為 ,質心恰在支架頂端正上方。設工作時支架與鉛垂線的夾角為 30°,欲使車體不至翻覆,支架長度最長可為多少?(A) (B)(C) (D)
65. 地上固定一個半徑為 R 之光滑半球體,一體積極小之彈珠從頂端以水平初速滑落,已知重力加速度為 g,請問下列敘述何者正確?(A)小球恰離半球面時,其距地高度為 (B)小球落至地面後再反彈,設其反彈速率不變,則反彈之最大高度為 R (C)小球恰離半球面時之速率為 (D)小球落至地面之瞬時速率為
66. 右圖為一個容器內的液體與其蒸氣所形成平衡系統的示意圖。於固定溫度下,將活塞緩慢往上拉,如果系統在整個過程中一直處於平衡狀態,並且當系統的體積達 V1 時,液體全部變成蒸氣。請問下列哪一個是正確表示此系統的壓力隨體積變化的關係圖? (A) (B) (C) (D)
67. 色層分析法是一種可以用來分析混合物組成的方法,將混合染料滴在濾紙上分析,在展開液上升至停止線時終止層析。待濾紙乾燥後,觀察發現甲、乙、丙三種成分之相對位置如圖;並定義 Rf 值=混合液上升的移動距離/展開液由起始線至停止線的距離。 Rf值與該成分及展開液的特性有關,可做鑑定之用。下列敘述何者正確?(A)甲的 Rf 值為 0.1 (B)甲、乙、丙的分子量大小關係為甲<乙<丙 (C)甲與丙在層析時,移動速率比約為 9:5 (D)甲、乙、丙的 Rf 值,會隨著展開液移動距離的增加而變大
68. 近幾年新冠病毒猖獗,市面上出現很多含氯的非酒精性消毒劑,若使用不當也常發生意外。圖為定溫下,某濃度的溶液中 Cl2、 HOCl 及 OCl− 三種物質的含量(%),隨 pH 值不同而變化的曲線。下列敘述何者正確?(A)Cl2較能溶於 pH > 5的水溶液中 (B)Cl2溶於 pH = 2 的水溶液反應中,會生成OCl− (C)Cl2溶於 pH = 2 的水溶液,消失的Cl2會轉化成 HOCl (D)OCl− 比較適合溶於酸性環境中
69. 在不同溫度下測定 KNO3 和 KCl 對水的溶解度(g/100g水),將數據記錄於下表,並將實驗數據繪製成圖表達溶解度與溫度的關係。 下列關於此實驗的結論及其後續實驗的敘述,何者正確? (A)圖中的曲線甲為 KCl 的溶解度與溫度的關係 (B) 40 ℃時,140 克飽和 KCl 溶液加熱蒸發 10 克水後,再降溫回到 40 ℃,充分攪拌該溶液待其達平衡後,則此時溶液的重量百分濃度為 25% (C) 10 ℃時,將裝有 5 毫升飽和 KNO3 溶液的試管,置於裝有 100 毫升水的燒杯中,並於燒杯中再加入 10 克 KNO3 固體,充分攪拌待其溶解後,則可見到試管中有結晶析出 (D)已知一混合物中含有等重量的 KNO3 和 KCl,根據上述的實驗結果,可利用加熱蒸發濃縮、冷卻結晶、過濾的方法將兩者分離
70. 取 x 、 y 、 z 、t 、s 五種金屬,它們均會形成+2價離子,進行以下的實驗: 根據上述實驗結果,下列敘述何者正確? (A)t 為最強的氧化劑 (B) z2+ 為最強的氧化劑 (C) s2+ 的氧化能力比 y2+ 強 (D) x2+ 的標準還原電位比s2+ 大
73. 右圖為週期表右側的一部分,已知X、Y、Z、V、W原子核外共有249 個電子,則 Y 的元素符號為何? (A) Ni (B) Rh (C) Ag (D) Au
76. 下圖為永久磁鐵接近或遠離感應線圈時,產生感應電流 I 的各種情況示意圖。請依「感應電流方向」及「磁鐵極性方向」,判斷甲、乙、丙、丁四種情況之中,何者為永久磁鐵遠離感應線圈?(A)乙丁 (B)甲丙 (C)乙丙 (D)甲乙
77. 有一化學反應式: A(aq)+ B(aq)→ C(s)+ D(aq) ,其中A, B, C, D為四種化合物代號。取濃度 2M 的 A 溶液,分別和濃度 1M 的 B 溶液進行多次反應,得到下表的數據。根據實驗後的數據,試問下列敘述何者錯誤? (A)實驗一至三的 3 個實驗中,A 溶液為過量試劑 (B)實驗三至五中,實驗四中的 B 溶液尚未過量 (C)由實驗三至四可知,需要的 B 溶液,恰好與 20 ml 的 A 溶液完全反應 (D)若取 0.3 M的 A 溶液 50 ml 與 0.5 M的 B 溶液 10 ml ,恰好完全反應
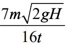
79. 如圖所示,一質量為 m 的小球從離地 H 處水平射出,第一次落地時的水平位移為 ,反彈高度為 。若地板為光滑,且空氣阻力可以忽略,而小球與地板接觸的時間為 t ,重力加速度為 g。第一次落地碰撞期間,小球在鉛直方向所受到的平均作用力之量值為何?(可將小球視為一質點)(A) (B) (C) (D)
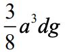
80. 在盛有純水的燒杯中,有一浮於水面的靜止木塊,此時木塊一半的體積沉於水面下,一半露出在空氣中。已知木塊為一正立方體,邊長為 a,燒杯的底面積為3a2 ,水的密度為 d ,重力加速度為 g 。現施一力 F 鉛直向下作用於木塊上表面的幾何中心處,使其下表面緩緩移動到距離容器底部 的位置並保持靜止,請問下列敘述何者正確?(A)此時浮力大小等於木塊重量 (B)對木塊施力 F 的大小為 (C)施力將木塊沒入水中時,木塊的合力向上 (D)若將施力去除,木塊會以等速度浮出水面