所屬科目:捷運◆土木工程學(概要)
1.如圖所示之平面共點力系,當達成靜力平衡時,力量F值應為何?(A)20kN(B)30kN(C)40kN(D)50kN。
2.承上題,試求力量F與水平軸所夾角?應為何?(A)30°(B)37°(C)53°(D)60°。
3.如圖所示之T型斷面,試求水平形心軸x與斷面底部之距離。(A)239mm(B)240mm(C)249mm(D)300mm。
4.承上題,試求該斷面對x軸之慣性矩為何?(A)(B)(C)(D)。
5.如圖所示承受軸向外力之均質等斷面桿件,A點為固定端,D點為自由端,其中AB段與CD段之應力比為何?(A)2:3(B)3:2(C)1:2(D)2:1。
6.承上題,試求D點之位移量,EA為常數。(A)(B)(C)(D)。
7.圖示一簡支梁承受一集中彎矩M,試求梁中最大剪力?(A)ML2(B)ML(C)ML(D)2ML。
8.承上題,梁中最大彎矩為何?(A)2M(B)M(C)M2(D)M4。
9.圖示一桁架結構受外力作用,試求E點垂直方向反力。(A)0kN(B)7.5kN(C)15kN(D)30kN。
10.承上題,試求CD桿件之內力,張力為正、壓力為負。(A)-10√3(B)10√3(C)-5√3(D)5√3。
11.試判斷下列桁架結構的穩定性與靜定性。(A)靜定穩定(B)穩定1次靜不定(C)穩定2次靜不定(D)不穩定。
12.試判斷下列構架結構的穩定性與靜定性。(A)靜定穩定(B)穩定1次靜不定(C)穩定2次靜不定(D)不穩定。
13.如圖示懸臂梁之自由端受集中力P,假設梁之EI為常數,試求B點的垂直位移。(A)(向下)(B)(向上)(C)(向下)(D)(向上)。
14.承上題,試求B點的旋轉角。(A)(順時針)(B)(逆時針)(C)(順時針)(D)(逆時針)。
15.如圖所示三片鋼板以螺栓結合並承載外力P,三片鋼板之厚度均為20mm及寬度均為50mm,試求A點斷面之正應力。(A)3.14kPa(B)6.28kPa(C)3.14MPa(D)6.28MPa。
16.承上題,螺栓直徑為10mm,試求螺栓所受之平均剪應力,(3.14)。(A)40MPa(B)10MPa(C)4MPa(D)1MPa。
17.如圖所示直徑20mm之圓形桿件承受軸拉力P,彈性模數E為200GPa,試求桿件長軸(y)向之正應變為何(π=3.14)?(A)(B)(C)(D)。
18.承上題,假設材料之包松比v=0.32,試求其直徑的縮短量為何?(A)mm(B)mm(C)mm(D)mm。
19.承上題,試求此材料的剪力模數。(A)(B)(C)(D)。
20.如圖所示之平面力系,試求其合力為何?(A)300N(B)200N(C)160N(D)140N。
21.承上題,試問其合力作用於距離A點之何處?(A)A點右側2m(B)A點左側2m(C)A點右側1.2m(D)A點左側1.2m。
22.下列何者為波蜀嵐材料?(A)高爐石(B)轉爐石(C)電弧爐石(D)大理石。
23.材料在哪一個點之前的遵守虎克定律?(A)彈性極限點(B)降伏點(C)極限強度(D)破壞強度。
24.水泥抗壓強度140kgf/cm2換算成英制應為何?(A)4000psi(B)3000psi(C)2000psi(D)1000psi。
25.水泥成分中常加入何者來調節凝結時間?(A)石膏(B)海砂(C)硫化鎂(D)硫酸鈣。
26.海砂中哪成分是造成鋼筋腐蝕的原因?(A)鉀離子(B)氯離子(C)鎂離子(D)離子。
27.一般所指填充料是指通過哪一號篩以下之材料?(A)#4(B)#200(C)#50(D)#16。
28.下列何者是代表水泥開始進行水化反應?(A)初凝(B)閃凝(C)假凝(D)終凝。
29.水泥混凝土抗壓強度大於何值為高強度水泥混凝土?(A)6000psi(B)7000psi(C)8000psi(D)9000psi。
30.一般水泥混凝土的晚期強度是指養治多少天的強度?(A)3天(B)7天(C)30天(D)28天。
31.瀝青膠泥AC-20是指黏滯度(攝氏60度)多少poises?(A)20(B)200(C)2000(D)20000。
32.馬歇爾配合設計是以什麼理念去設計?(A)體積特性(B)重量特性(C)浮力原理(D)以上皆非。
33.如果沒有足夠的瀝青包裹,瀝青混凝土可能會有哪種破壞?(A)剝脫(B)車轍(C)冒油(D)以上皆非。
34.下列何者不是瀝青混凝土的主要成分?(A)瀝青膠泥(B)粗骨材(C)細骨材(D)水。
35.台灣地區鋪面最容易在連日多雨後出現的破壞為何?(A)裂縫(B)車轍(C)冒油(D)剝脫。
36.下列何種瀝青膠泥分級是使用老化後瀝青來做為分級測試的標準?(A)AC(B)AR(C)針入度(D)軟化點。
37.下列幾項因素是在台灣設計道路時需要考慮?(A)高溫(B)多雨(C)交通量大(D)以上皆是。
38.下列何種瀝青膠泥是天然產生的?(A)湖瀝青(B)乳化瀝青(C)油溶瀝青(D)橡膠瀝青。
39.關於經緯儀正倒鏡觀測之描述,下列何者正確?(A)可消除隨機誤差(B)無法消除水平度盤刻畫不平均的誤差(C)應正倒鏡觀測後視之後再以正倒鏡觀測前視(D)無法消除視準軸不垂直橫軸的誤差。
40.關於自由度之描述,下列何者正確?(A)自由度為兩次獨立觀測之個數差(B)自由度增加可消除系統誤差(C)自由度代表多餘的觀測量個數(D)自由度增加無法提升檢核錯誤的能力。
41.關於誤差之描述,下列何者正確?(A)隨機誤差為偶然發生的誤差(B)系統誤差常可使用多餘觀測消除(C)觀測次數少時,錯誤的發生機率低(D)隨機誤差無法被消除。
42.以下專有名詞定義何者正確?(A)縱角為從水平線起算之垂直方向夾角,往上為正,往下為負(B)方向角為從正北方向起算順時鐘旋轉至測線方向之夾角(C)水平面為高程相等之平面(D)高程為某點至水準面之垂距。
43.關於測量基準之描述,下列何者正確?(A)水準測量之基準為地球橢球(B)衛星導航系統以平均海水面為高程基準(C)全球橫麥卡托投影為6度分帶投影(D)地圖投影之假東及假北參數為使目標區域位在地圖座標原點。
44.基於下圖之三角測量構型,考量角度量測之隨機誤差,交會定位之誤差行為為何?(A)X軸方向誤差較大(B)Y軸方向誤差較大(C)無特定誤差較大之方向(D)沿AC兩點連線方向誤差較大。
45.關於測量品質評估之描述,下列何者正確?(A)精密度之指標為平均值(B)精密度代表系統誤差之大小(C)精確度之指標為標準差(D)精確度代表與參考值接近之程度。
46.參考下圖之直接水準測量設置,若量測得後視bs=0.825m、前視fs=0.655,已知點A點高程為100.000m,則B點高程為?(A)99.830m(B)100.170m(C)98.520m(D)101.480m。
47.關於水準儀主軸之描述,下列何者正確?(A)視準軸為目鏡主點與物鏡主點之連線(B)水準管軸為水準氣泡中點之切線(C)直立軸為縱轉之旋轉軸(D)水準儀旋轉時水準氣泡偏移則代表直立軸與水準管軸不垂直。
48.參考下圖之配置,若AB方位角為90°,θ角為120°,則BC方位角為何?(A)30°(B)60°(C)210°(D)270°。
49.進行三絲水準測量時,水準儀之乘常數為100、加常數為0.000m,若量測得上絲與下絲讀數差為0.400m,所估算之水準儀與水準尺距離為何?(A)20.000m(B)40.000m(C)60.000m(D)140.000m。
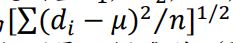
50.若一距離量測n次得觀測量d1,d2,…,,以下何者正確?(A)觀測量之標準差為,?為平均值(B)平均值之標準差為σ⁄√n,σ為觀測量之標準差(C)觀測量之標準差不因觀測個數增加而降低(D)不同儀器品質量測所得之觀測量可一併計算。