所屬科目:教甄◆數學
3. ( ) Define the notation [t] means “the greatest integer not exceeding t” and {t} means “the fractional part of t”. Which of the following is false? (A) t > 1 (B) 2t> 1314 (C) [t] = 657 (D)
5. ( ) Choose the correct relations of the values of following definite integrals. (A) I1 < I2, I3 < I4 (B) I1 < I2, I3 > I4 (C) I1 > I2, I3 < I4 (D) I1 > I2, I3 > I4
6. Find all a such that both of equations x2 + αx + 1996 = 0 and x 2 + 1996x + α= 0 has two integer roots.
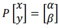
7. Appling Gram-Schmidt method, it can decomposition vector = (3, −4) and = (4,3), α, β are real number. Please find the 2 × 2 matrix P, such that .
8. If the distribution of discrete random variable X is ,where p is positive real number, please find the variance Var(X) of X.
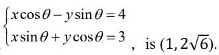
2. Given an angleθ ,the solution of equation Please find the solution of equation
3. As figure 1, two 3 by 4 rectangles overlap in such a way that their sides are perpendicular. If the area and perimeter of the shaded region are 22 and 20 respectively, compute length AB.