所屬科目:教甄◆生物專業
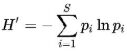
(二)、名詞解釋:香農-威納指數(Shannon Wiener index)(3分) 參考公式:
(三)、已知有兩個森林群集(A與B),其物種組成皆為5種,各物種所占比率如下表: 請依上表數據,繪圖比較此2個森林群集物種均勻度的差異。(縱軸、橫軸各2分,圖形選擇3分,共7分)
(一)、真核細胞常見的細胞骨架有下面三類: 請問(A)、(B)、(C)分別為何,又有何功能(3分)?