阿摩線上測驗
登入
首頁
>
技檢◆室內配線(屋內線路裝修)-丙級
> 113年 - (最新版)00700 室內配線-屋內線路裝修 丙級 工作項目 03:電工儀表裝置及使用#123116
113年 - (最新版)00700 室內配線-屋內線路裝修 丙級 工作項目 03:電工儀表裝置及使用#123116
科目:
技檢◆室內配線(屋內線路裝修)-丙級 |
年份:
113年 |
選擇題數:
62 |
申論題數:
0
試卷資訊
所屬科目:
技檢◆室內配線(屋內線路裝修)-丙級
選擇題 (62)
1. 低壓單相二線式 110V 之瓦時計,其電源非接地導線應接於該儀表之 (A)1L 端 (B)2L 端 (C)1S 端 (D)2S 端 。
2. 電感的單位是 (A)法拉 (B)瓦特 (C)亨利 (D)伏特 。
3. 有 150 伏之直流電壓表其內阻為 170kΩ,希望能測到 300 伏時,需串聯多 少 kΩ之電阻? (A)100 (B)170 (C)240 (D)340 。
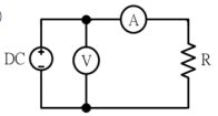
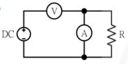
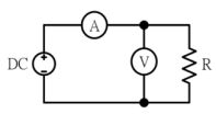
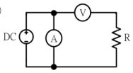
4. 利用電壓表、電流表,測量未知電阻R,如該電阻係屬低電阻時,為減少誤差則宜採用下列何種接法? (A)
(B)
(C)
(D)
。
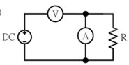
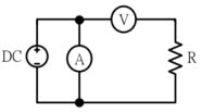
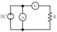
5. 利用電壓表、電流表,測量未知電阻R,如該電阻係屬高電阻時,為減少
誤差則宜採用下列何種接法?(A)
(B)
(C)
(D)
。
6. 指針型電表面板上設置鏡面(刻度下方成扇形弧狀)是為了避免下列何種 誤差? (A)人為 (B)儀器 (C)環境 (D)電路 。
7. 新設屋內配線之低壓電路的絕緣電阻測定應測量 (A)導線間之絕緣電阻 (B) 導線與大地間之絕緣電阻 (C)導線間及導線與大地間之絕緣電阻 (D)無硬性 規定 。
8. 低壓電路之絕緣電阻測定應使用 (A)三用電表 (B)絕緣電阻計 (C)鉤式電流表 (D)接地電阻計 。
9. 使用兩只指針型單相瓦特計(W1、W2)測量三相電功率,若測量結果為 W1=W2 且均為正值,則此三相負載之功率因數為 (A)0.5 (B)0.7 (C)0.866 (D) 1 。
10. 指針型功率因數表之中央標度,其功率因數為 (A)超前 0.5 (B)滯後 0.5 (C)1 (D)0 。
11. 三用電表表頭有使指針迅速停止於正確位置之裝置為 (A)阻尼裝置 (B)控制 裝置 (C)驅動裝置 (D)軸承 。
12. 以指針型三用電表測量電阻時,先作零歐姆歸零調整,其目的是在補償 (A) 測試棒電阻 (B)電池老化 (C)指針靈敏度 (D)接觸電阻 。
13. 內阻各為 200kΩ及 150kΩ之兩台 200 伏特直流電壓表若串聯連接時,可 測定之最高電壓為多少伏? (A)250 (B)300 (C)350 (D)400 。
14. 指針型三用電表使用歐姆檔測試時,撥在下列何種檔位所消耗的電流最 大? (A)R×1 (B)R×10 (C)R×1k (D)R×10k 。
15. 指針型三用電表使用完畢後,應將選擇開關撥在 OFF 或下列何種檔位的最 大值位置? (A)DCV 檔 (B)ACV 檔 (C)DCmA 檔 (D)歐姆檔 。
16. 線電流為 10A 之平衡三相三線式負載系統,以鉤式電流表任鉤其中二線量測電流時,其值為多少 A? (A)0 (B)10 (C)
(D)30 。
17. 相同額定電壓之 10W 及 100W 燈泡,10W 燈泡電阻為 100W 燈泡電阻多少 倍? (A)1/10 (B)1/5 (C)1 (D)10 。
18. 直流電流表宜採用下列何者以擴大測量範圍? (A)比流器 (B)分流器 (C)倍增 器 (D)比壓器 。
19. 鉤式電流表係利用比流器的原理製成,其一次側線圈為多少匝? (A)1 (B)5 (C)10 (D)100 。
20. 指針型三用電表中非線性刻度是量測 (A)交流電壓 (B)交流電流 (C)電阻 (D)直 流電流 。
21. 三用電表測量電阻時,若範圍選擇開關置於 R×10,指針的指示值為 50 Ω,則實際的電阻值為多少Ω? (A)50 (B)500 (C)5000 (D)50000 。
22. 在感應型瓦時計的鋁質圓盤上鑽小圓孔,其主要目的是 (A)幫助啟動 (B)阻 尼作用 (C)防止圓盤之潛動 (D)增加轉矩 。
23. 感應型瓦時計之永久磁鐵作用為 (A)阻尼作用 (B)增加轉矩 (C)克服圓盤摩擦 (D)防止圓盤之潛動 。
24. 量測電阻值可選用下列哪種儀表? (A)電壓表 (B)電流表 (C)瓦時表 (D)歐姆 表 。
25. 家庭用計算電費的電表是屬於 (A)電壓表 (B)電流表 (C)瓦時計 (D)鉤式電流 表 。
26. 如下圖所示,檢流計 G 指示值為零時,Rx 等於多少歐姆?
(A)2 (B)3 (C)4 (D)8 。
27. 內阻為 9Ω之 100mA 直流電流表,如欲擴大量測範圍,測量 1A 之負載電 流,則需並聯多少Ω之分流器? (A)99 (B)19 (C)10 (D)1 。
28. 如下圖所示,電流表內阻為 1Ω,其滿刻度電流為 10 毫安,當並聯 1/9Ω的分流器時,可量測的線路電流最大值為多少毫安?
(A)400 (B)300 (C)200(D)100 。
29. 如圖
所示之電表表頭符號是 (A)動鐵型 (B)動圈型 (C)感應型 (D)電動力計型 。
30. 目前市面上所使用之指針型三用電表,其表頭是使用 (A)動圈型 (B)整流型 (C)感應型 (D)動鐵型 。
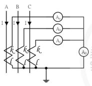
31. 如下圖所示三相三線平衡電路,I=80 安,CT 比值為 100/5A,則
指示值為多少安?
(A)0 (B)3 (C)4 (D)5 。
32. 比流器之負擔係以下列何者作表示? (A)伏特 (B)安培 (C)伏安 (D)瓦特 。
33. 在交流串聯電路中,如 R=3Ω,X=4Ω,則其總阻抗應為多少Ω? (A)1 (B)5 (C)7 (D)12 。
34. 以 100/5 比流器附安培表測量某負載電流,如比流器二次側之電流值為 2 安,則負載電流為多少安? (A)10 (B)20 (C)30 (D)40 。
35. 比流器的二次額定電流為 5A,如其二次側迴路的阻抗值為 0.4Ω時,該比 流器之負擔為多少伏安? (A)16 (B)10 (C)8 (D)4 。
36. 惠斯登電橋中之檢流計其功用是 (A)記錄電流 (B)積算電流 (C)檢查電流 (D)遙 測電流 。
37. 已知 R
1
=2Ω,R
2
=R
3
=4Ω,則其並聯總電阻為多少Ω? (A)1 (B)2 (C)4(D)8 。
38. 直流電壓 100 伏加在 20Ω電阻之兩端,則流過電阻的電流為多少 A? (A)5 (B)10 (C)15 (D)20 。
39. 使用零相比流器(ZCT)之目的是 (A)量測大電流 (B)量測大電壓 (C)量測功率 (D)檢出零相電流 。
40. 配置於配電盤上之計器、儀表、電驛及儀表用變比器,其一次側接自對地電壓超過多少伏特以上線路時,其二次側迴路均應加以接地? (A)100 (B)150 (C)300 (D)600 。
41. 惠斯登電橋平衡時,檢流計 G 應指示為何? (A)0 (B)1 (C)2 (D)3 。
42. 一般稱一度電是指 1kW 的負載使用多少小時? (A)1 (B)2 (C)5 (D)10 。
43. 瓦特表係測量負載之 (A)無效功率 (B)有效功率 (C)視在功率 (D)功率因數 。
44. 仟乏計係測量負載之 (A)視在功率 (B)無效功率 (C)功率因數 (D)有效功率 。
45. 瓦時計係測量負載之 (A)視在功率 (B)無效功率 (C)電能 (D)功率因數 。
46. 量測電流值可選用下列何種儀表? (A)伏特表 (B)安培表 (C)瓦特表 (D)電度 表 。
47. 量測電壓值可選用下列何種儀表? (A)電度表 (B)瓦特表 (C)安培表 (D)伏特 表 。
48. 電度表計量為下列何者乘積? (A)電壓與電流 (B)電壓與時間 (C)電流與時間 (D)電力與時間 。
49. 瓦時計又可稱為 (A)瓦特表 (B)電度表 (C)伏特表 (D)安培表 。
50. 鉤式電流表主要用於量測 (A)交流電壓 (B)交流電流 (C)直流電壓 (D)直流電 流 。
51. 傳統之指針型三用電表,所測量之交流電壓為 (A)最大值 (B)瞬時值 (C)平均 值 (D)有效值 。
52. 電機工程中機械功率的單位為馬力,1 馬力等於多少瓦? (A)0.746 (B)1 (C) 746 (D)1000 。
53. 有 n 個相同之電池,其串聯總電動勢為並聯總電動勢之多少倍? (A)n
2
(B)n(C)
(D)
。
54. 電能的單位係以下列何者表示? (A)J (B)W (C)C (D)A 。
55. 電功率單位係以下列何者表示? (A)J (B)W (C)C (D)A 。
56. 電容的單位係以下列何者表示? (A)V (B)A (C)F (D)Ω 。
57. 高阻計可用來測量感應電動機的 (A)輸出功率 (B)滿載電流 (C)絕緣電阻 (D)起 動轉矩 。
58. 三相感應電動機定子繞組為△接線時,測得任意兩線間的電阻為 0.6Ω, 若將其改接為 Y 連接時,則任意兩線間的電阻應為多少Ω? (A)9 (B)4 (C)2.5 (D)1.8 。
59. 瓦特表配合比壓器(PT)及比流器(CT)使用時,已知 PT 的電壓比為 3300/110,CT 之電流比為 50/5,則該電表實際量測值應乘以 (A)300 (B)150 (C)100 (D)75 。
60. 在一定電壓下,兩只 300W 之電阻性電熱器接成串接,每一個電熱器之消 耗功率為多少 W? (A)300 (B)150 (C)100 (D)75 。
61. 電動機銘牌上所註明之電流值,係指電動機之 (A)半載電流 (B)無載電流 (C) 1/2 滿載電流 (D)滿載電流 。
62. 請問變比器是指哪兩項設備? (A)變流器、變頻器 (B)變壓器、比壓器 (C)比 壓器、比流器 (D)變壓器、變流器 。
申論題 (0)
相關試卷
114年 - 114-3 全國技術士技能檢定學科_丙級:00700 室內配線─屋內線路裝修#137559
114年 · #137559
114年 - 00700 室內配線─屋內線路裝修 丙級 工作項目 19:用電法規之認識 1-20(2025/10/07 更新)#131809
114年 · #131809
114年 - 00700 室內配線─屋內線路裝修 丙級 工作項目 18:檢查與故障排除 1-27(2025/10/07 更新)#131808
114年 · #131808
114年 - 00700 室內配線─屋內線路裝修 丙級 工作項目 17:漏電保護裝置 1-35(2025/10/07 更新)#131807
114年 · #131807
114年 - 00700 室內配線─屋內線路裝修 丙級 工作項目 16:特別低壓工程 1-14(2025/10/07 更新)#131806
114年 · #131806
114年 - 00700 室內配線─屋內線路裝修 丙級 工作項目 15:接地工程及接戶線工程 1-41(2025/10/07 更新)#131805
114年 · #131805
114年 - 00700 室內配線─屋內線路裝修 丙級 工作項目 14:電容器裝置 1-25(2025/10/07 更新)#131804
114年 · #131804
114年 - 00700 室內配線─屋內線路裝修 丙級 工作項目 13:變壓器裝置 1-9(2025/10/07 更新)#131803
114年 · #131803
114年 - 00700 室內配線─屋內線路裝修 丙級 工作項目 12:電熱類裝置 1-23(2025/10/07 更新)#131802
114年 · #131802
114年 - 00700 室內配線─屋內線路裝修 丙級 工作項目 11:電動機裝置 1-67(2025/10/07 更新)#131801
114年 · #131801