所屬科目:台電◆電子學
1.連續點一盞 100 W 燈泡一年,約需要多少千瓦小時(kWh)?(A) 876 kWh (B) 1024 kWh (C) 1238 kWh (D) 1502 kWh
2.有一電路其電壓為v(t)=10 sin (377t+60°) V,電流為i(t)=8 sin (377t+60°) A,則其消耗之平均功率為何? (A) 20 W (B) 40 W (C) 80 W (D) 100 W
3.有一負載以 0.6 的落後功率因數吸收 6 kW 的平均功率,求負載的複數功率為何?(A) ( 6 − j8 ) kVA (B) ( 6 + j8 ) kVA (C) ( 8 − j6 ) kVA (D) ( 8 + j6 ) kVA
4.有關平衡三相 Y 接及∆接電源大小之敘述,下列何者有誤?(A) Y 接之線電壓為相電壓之倍 (B) Y 接之線電流為相電流之倍(C) ∆接之線電壓等於相電壓 (D) ∆接之線電流為相電流之倍
5.一個 R、L、C 互相並聯之電路,R=6Ω,L=7H ,C=F 。求其共振頻率ω0為何? (A) 1 rad/s (B) rad/s (C) 2 rad/s (D)rad/s
6.將 i(t) = -5 sin (377t-110 °) A轉換為相量表示,則應為下列何者?(A) 5∠-20° A (B) 5∠160° A (C) 5∠-70° A (D) 5∠110° A
7.一個功率 2 hp 的馬達,連續運轉一小時可傳送約多少能量?(1 ph = 746W)(A) 10.33 kJ (B) 89.52 kJ (C) 5.37 MJ (D) 6.56MJ
8.兩電流i1(t)=3 cos(2t+30° ) A及i2(t)=-2 sin (3t+30 °) A,則下列有關兩電流相位之敘述何者正確?(A) i1(t)及i2(t)同相位 (B) i1(t)超前i2(t)之相位為60°(C) i1(t)落後i2(t)之相位為90° (D)兩電流相位無法比較
9.若有效值為 1 伏特之正弦波電壓源與 R、L、C 串聯電路連接,並產生串聯共振,則電容器 C 兩端電壓有效值為何? (A) RC (B)(C)(D)
10.於 L-C 串聯電路中,若 L = 2.653 H,且與 C 串聯接於 60 Hz 之電源,今欲改變電容量使達到共振,請問電容器 C 之值應調整為下列何者? (A) 1.625 μF (B) 2.358 μF (C) 2.653 μF (D) 3.25 μF
11.其諾頓等效電路中之電流源值為何?(A) 6 A (B) 7 A(C) 8 A (D) 9 A
12.承第 11題,如果在此單埠電路之兩端接上一個 8Ω的電阻,則此電阻上將消耗多少功率? (A) 128 W (B) 150 W (C) 179 W (D) 230 W
13.承第 12 題,若改變電阻值,則最大可從此單埠電路中得到多少功率供給?(A) 135 W (B) 144 W(C) 196 W (D) 240 W
14.則 Y12 之值為何? (A) (B) (C)(D)
15.承第 14 題,Y22之值為何?(A)(B) (C) (D)
16.承第 14 題,電路改用雙埠網路的混合參數表示,則 h11之值為何?(A) 14 Ω (B) 18 Ω (C) 20 Ω (D) 28 Ω
17.承第 16 題,則 h21之值為何?(A) (B)(C)(D)
18 使用橋式整流器來實現全波整流電路,其輸入電壓為 Vpeak = 100 V、60 Hz,輸出電容為 100 μF,負載為 10 kΩ,假設二極體為理想二極體,試求漣波電壓 Vr,peak to peak 為何? (A) 0.417 V (B) 0.833 V (C) 0.967 V (D) 1.667 V
19.對於共基極放大器之敘述,下列何者有誤?(A)不會受米勒效應(Miller Effect)的影響 (B)電流增益約為 1(C)輸入阻抗很小 (D)輸出阻抗很小
20.有一電晶體偏壓於作用區,測得IB=0.05 mA、IE=5 mA,則此電晶體的 α 參數值為何?(A) 0.01 (B) 0.99 (C) 9.9 (D) 100
21.假設有一個運算放大器在開路低頻的增益AO = 100 dB,當頻率 f = 104 Hz 時,其開路增益的大小為 40 dB,請問此放大器之單位增益頻寬(unit gain bandwidth)值約為多少? (A) 104 Hz (B) 105 Hz (C) 106 Hz (D) 107 Hz
22.有關場效電晶體 FET 放大器的敘述,下列何者有誤?(A)共源極放大器的輸入與輸出電壓反相 (B)共源極放大器的輸入阻抗值很高(C)共汲極放大器的電壓增益值小於 1 (D)共閘極放大器的輸入阻抗值很高
23.設計電晶體差動放大器時,射極共同點接一穩定電流源之主要目的為何?(A)增加負回授量 (B)提高 CMRR (C)增加頻寬 (D)提高增益
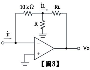
24.如下【圖 3】所示的理想運算放大器電路中,若電流增益 iL / iI = 10,則 R 值應為多少?(A) 1/9 kΩ (B) 2/9 kΩ (C) 5/9 kΩ (D) 10/9 kΩ
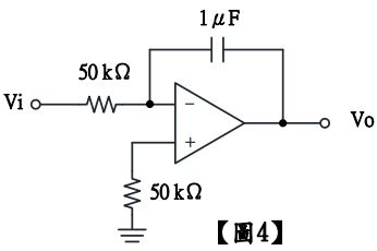
25.如下【圖 4】所示之電路,其功能為何?(A)積分器 (B)微分器 (C)反相放大器 (D)非反相放大器
26.承第 25 題,電容初始電壓 t = 0 時Vc (0) = 0 V,t≥0時Vi = 1 V,計算V0 (t1 ) = 10 V 時,t1為何? (A) 0.1 Sec (B) 0.2 Sec (C) 0.25 Sec (D) 0.5 Sec
27.則差動增益 Ad = (Vo1 – Vo2) / (V1 –V2)約為何值?(A) -80 (B) -70 (C) -60 (D) 50
28.承第 27 題,若 VCC = VEE = 10 V,則輸入電壓 V1或 V2的最大值不得超過多少?(A) 8.4 V (B) 9 V (C) 9.5 V (D) 10 V
29.請計算 VD電壓為何?(A) 3.6 V (B) 3.8 V (C) 4.4 V (D) 4.8 V
30.如【圖 6】所示,若 FET 元件參數 VA = 50 V,請計算輸出阻抗 ro為何? (A) 10 kΩ (B) 25 kΩ (C) 47 kΩ (D) 75 kΩ
31.如【圖 6】,計算電壓信號放大率(VO / Vi)為何?(A) -33 (B) -3.3(C) +3.3 (D) +33
32.如【圖 6】,計算輸入阻抗 Rin為何?(A) 1.33 MΩ (B) 2.33 MΩ(C) 3.33 MΩ (D) 4.33 MΩ
33.若 Vi = 1 V~3 V、OPA 的 Vsat = 15 V 則 Vi為何? (A) -2 V ~ -6 V (B) 2 V ~ 6 V (C) 3 V ~5 V (D) 3 V ~9 V
34.承第 33 題,V2為何?(A) –4.5 V ~ – 13.5 V (B) –4.5 V ~ – 7.5 V (C) –9 V ~ – 15 V (D) –9 V ~ – 27 V
35.兩只變比及特性等級均相同的 C 級比流器(Current Transformer, CT),當二次側繞組串聯使用時,變比(CT Ratio, CTR)與電壓規範值(accuracy class voltage, VCL)之變化為何? (A) CTR 和 VCL都增加 1 倍 (B) CTR 不變,VCL增加 1 倍 (C) CTR 增加 1 倍,VCL不變 (D) CTR 減少 1 倍,VCL增加 1 倍
36.在方向性及測距電驛保護元件中,電壓記憶迴路的作用為何?(A)提高靈敏度 (B)防止反向出口單相故障動作(C)消除暫態電壓 (D)確保正向出口三相短路故障正確動作
37.某輸電線路發生 A-B 兩相短路故障時,若負載電流忽略不計,則於故障點的電氣量條件為何?(A) VA= VB =0, IA = –IB, IC = 0 (B) VA = VB = 0, IA = IB, IC = 0(C) VA = VB, IA = –IB, IC = 0 (D) VA = VB, IA = –IB, VC = 0
38.當主保護電驛或斷路器未正常動作時,需由何種電驛來隔離故障?(A)後衛保護 (B)斷路器失靈保護 (C)失步保護 (D)異常運轉保護
39.諧波抑制變壓器差動保護電驛中另設計瞬時差動保護元件的主要原因為何?(A)雙重主保護互為備用(B)提高差動保護動作速度(C)防止保護區域內發生高故障電流引起 CT 飽和諧波失真導致差動元件不動作(D)防止諧波含量較高之變動性負載造成諧波抑制差動保護誤判
40.輸電線路自動復閉電驛於故障隔離後經一定時間才能送出投入斷路器命令,其考慮因素為何?(A)故障點需有足夠的去游離時間 (B)防止多次復閉(C)避免斷路器三相不同步 (D)斷路器完成消弧時間
41.比流器極性接線錯誤時對下列何種保護電驛不會造成影響?(A)過流電驛 (B)測距電驛 (C) 差動電驛 (D)以上皆非
42.下列何者是對斷路器失靈保護電驛最正確的描述?(A)本地後衛保護,當故障設備之主保護未動作時用來隔離故障(B)本地後衛保護,當故障設備之斷路器未動作時用來隔離故障(C)遠方後衛保護,當故障設備之主保護未動作時用來隔離故障(D)遠方後衛保護,當故障設備之斷路器未動作時用來隔離故障
43.比流器二次側應有可靠的接地,其原因為下列何者?(A)防止比流器一二次側繞組絕緣破壞時,高電壓對人員及設備的危害(B)便於量測時形成接地迴路(C)於接地故障時形成迴路(D)提供洩漏雷電流路徑
44.發電機中性點採用高阻抗接地之發電機差動電驛(設備代號:87G)可以保護何種故障類型?(A)定子繞組接地故障 (B)定子繞組相間短路 (C)定子繞組層間短路 (D)以上皆是
45.變壓器中性點零相過電流電驛保護何種情形?(A)變壓器繞組接地 (B)負載三相不平衡 (C)變壓器鐵芯接地 (D)外部饋線接地故障
46.下列何者不是上下游電驛協調時間間隔考慮因素?(A)斷路器啟斷時間 (B)電驛感應圓盤衝前時間(C)最大故障電流 (D)安全裕度
47.其高壓側正序量相較於對應的低壓側正序量之相位差為何? (A)領前 60° (B)領前 30° (C)落後 30° (D)落後 60°
48.承第 47 題,請問當以負相序電源輸入該標準接線變壓器時,高壓側與對應低壓側之相位差為何?(A)領前 60° (B)領前 30° (C)落後 30° (D)落後 60°
49.下列何者不是運用數位式匯流排保護電驛須考慮之因素?(A)所有 CT 須改為正相序輸入 (B)所有 CT 極性須一致(C)所有 CT 匝比須一致 (D)須考慮 CT 飽和問題
50.匯流排保護電驛之基本要求為何?(A)對外部事故絕對要避免動作 (B)能正確選擇跳脫故障之匯流排(C)可以確實偵測內部事故 (D)以上皆是