所屬科目:鐵路◆電路學(概要)
12. 在Y型接法三相平衡制中,相電壓的大小是線電壓大小的多少倍? (A)1/ 倍 (B)倍 (C)1/ 倍 (D) 倍
17. 如圖【1】所示,當R1 = 3R2、R2 = 2R3時,試求的比值為何?(A) (B) (C) (D)
18. 相量 3 + j4 之極座標為何? (A)5∠53.1°(B) (C)5∠36.9 ° (D)
19. 一40μF電容器,於兩端加入 sin(200t)V的電壓,試求此時的電容抗為多少Ω? (A)5Ω (B)28Ω (C)125Ω (D)1120Ω
20. 如圖【2】所示電路,若電阻RL所消耗之功率為電源電壓所提供之總功率的2/3,試求RL之值為多少?
(A)5.2Ω (B) 6.4Ω (C)8.4Ω (D)9.6Ω
25. 三相平衡系統採△接,若線電流為15A,試求相電流為多少A? (A)15A (B)(C) (D)45A
32. 如圖【3】所示電路,在150kΩ兩端使用一個電壓表量測其電壓值,此電壓表的內阻為300kΩ,請問在量測方式無誤下,電壓表會測得多少電壓值?
(A)50V (B)55V (C)60V (D)65V
33. 如圖【4】所示電路,試求I1電流流經之電阻3Ω的消耗功率為多少?(A)3W (B)27W (C)6.75W (D)12W
35. 如圖【5】所示電路,若電路中I=0,試求電路中R=?
(A)2Ω (B) 1Ω (C) 4Ω (D) 3Ω
39. 如圖【6】所示為兩相鄰導線通入不同方向電流,試問兩導線L1、L2會承受何種力?(A)L1向右、L2向左 (B)L1向左、L2向右 (C)L1向右、L2向右 (D)L1向左、L2向左
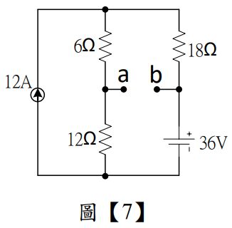
40. 如圖【7】所示電路,試求a、b兩點間之諾頓等效電路的等效電流為多少?(A)3A (B)8A (C)5A (D)6A
42. 如圖【8】所示電路,電感及電容均無儲能,SW關上瞬間,試求Is電流大小為多少?
(A)0A (B)10mA (C)11.7mA (D)16.3mA
46. 如圖【9】所示電路,電源Vs總消耗功率為90mW,且V1 = 0.1VS,試求電源電壓Vs 為多少?
(A)50V (B)30V (C)40V (D)60V
47. 一個∆形三相平衡負載電路中,每相阻抗為8+j6Ω,接於200V的三相平衡電源上,試求負載線電流IL及負載消耗的總有效功率PL為多少? (A) IL=20A、PL=3.2kW (B)(C)(D)
49. 三相電力系統作△或Y連接時,有關相電壓(VP)、線電壓(VL)、相電流(IP)及線電流(IL) 的敘述,下列何者正確? (A)△連接時,(B)△連接時, (C)Y連接時,(D)Y連接時,