所屬科目:教甄◆數學
1. P 為圓 O 上的動點,為圓 O 直徑,= 10,則的最小值為何?(A)23 (B)22 (C)21 (D)20
2. 有一正立方體的邊長為 1,已知為起點與終點皆為此正立方體的頂點之向量,且= 1,則共有多少個不相等的向量?(A)5 (B)6 (C)7 (D)8
4. 已知 x + y + z = 1,x2 + y2 + z2 = 2,x3 + y3 + z3 = 3,則 x4 + y4 + z4的值為何?(A) (B) (C)(D)
5. 已知 a , b , c 為正數,且 a + b + c = 1,則的最小值為何?(A)10 (B)9 (C)8 (D)7
6. 兩組資料 X、Y,若 Y 對 X 的最適合直線為y =,且 X 的平均數為 60,令s = ,t =,且 t 對s的最適合直線為 y = ax + b,則 a + b 的值為何?(A)(B)(C)(D)
8. 多項式 f(x)滿足 f(1)=0,f′(1) = −15,則的值為何?(A)3 (B)-1 (C)0 (D)-3
9. 四邊形 ABCD 面積為 32,已知的長為整數,且其和為 16,請問這樣的四邊形有多少個?(A)3 (B)4 (C)5 (D)6
12. 在三維空間中,下列何者敘述為真? (A)3x – y = 0 表示一直線 (B)2x – 4 = 0 表示一平面 (C)x2 + y2 = 1 表示一個圓 (D)表示一個圓
13. 的個位數字為何?(A)0 (B)2 (C)4 (D)6
14. = 0有幾個解?(A)2 (B)1 (C)無限多解 (D)無解
15. = x實根為α,4 − x = 實根為β,請問α+β的值為何?(A)2 (B)3 (C)4 (D)5
16. 函數y = 2sin3x與直線 y = 2 圍成的封閉圖形,請問其面積為何?(A) (B) (C) (D)
17. ,則的值為何?(A)2 (B) (C)0 (D)
18. 四邊形 ABCD 為等腰梯形,為腰,且,則兩向量的內積為何? (A)18 (B)36 (C)24 (D)9
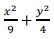
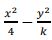
20. 已知橢圓= 1 與雙曲線= 1,有共同的焦點 F1、F2,若 P 是兩圖形的交點,則∆P1F2的面積為何? (A)5 (B)3 (C)1 (D)2
22. 設g(x) = xf(x) + 1,且= f(0) = 3,則g′(0)的值為何?(A)3 (B)4 (C)5 (D)6
23. 直線 y = x 與拋物線 y = x3 所圍成封閉區域的面積為何?(A)(B)(C)(D)
25. 設 A、B、C 皆為 n 階矩陣,l, m ∈ N,α ∈ R,下列何者有誤? (A)(A-B)(A+B) = A2- B2 (B)A(B - C) = AB - AC (C)(D)