所屬科目:教甄◆數學
1.= ___________
2.y=f(x)=,當實數x=__________時, y 有最小值?
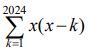
5. 設實數x滿足: ,則 x=__________
8. 將一些正方形用如右圖一樣方式填滿一個矩形盒子,則稱這些正方形 可以被組裝成一個「鋸齒狀矩形」;下圖恰為一個6✕4的鋸齒狀矩形, 它是由39個大小相同的正方形所構成的。則一個9✕7的鋸齒狀矩形內 有__________個這樣的正方形。
12. 將長度為之線段任意分為三段,則三段相接能構成一個三角形之機率為__________
13. 設△ ABC 的三邊長,且 , 則a之值為__________
14. 如下圖,圓與正三角形△ ABC 的三邊交出6個點,如果=2、=13、=1、=7,試求 = ____________
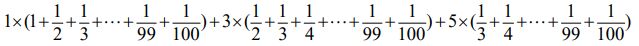
15. 令A=,求= __________
16. 考慮有以上特性的4✕4方陣:它的每一個元都是0或1,滿足四列的元之和分別為1、2、3、4 (不須依照順序), 且四行的元之和也分別為1、2、3、4 (不須依照順序)。 例如:方陣滿足以上的條件。 則符合上述特性的4✕4方陣有___________個
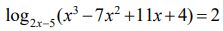
17. 已知,求x=__________
18. 若=x ,則 f '(3)= _________
19. 設f(x)=且f(x)在x=a處有極大值b,則序對(a,b)=_________
20. 計算題xy平面上有兩點 A(-2,1)、B(-5,0),設P點在 x 軸上移動,則之比值有最大值時的P點坐標為何?