所屬科目:教甄◆理化專業
41. 取含有 Fe2 O3 雜質的金塊樣品3.2克,以適量鹽酸使雜質恰完全作用,釋出的Fe 3 + 再 以鐵還原成 Fe 2+ ,該溶液中無Fe 3 +殘留,其反應如式(1)及式(2)。用去離子水將該溶液稀釋至100毫升,取該稀釋液10毫升,在標準狀況下通入氯氣13.44毫升 (視為理想氣體),可將 Fe 2+ 完全氧化,如式(3)所示,該溶液中無 2 Fe + 殘留。 試問金塊樣品中所含Fe2 O3的重量百分比為多少%? (A) 20 (B) 30 (C) 40 (D) 50
42. 劉同學完成阿司匹靈合成實驗並測定其純度。將合成所得的阿司匹靈粉末2.83克, 加入0.50 M的氫氧化鈉50毫升後加熱水解,產生阿司匹靈的鈉鹽與醋酸鈉,其反應 式如下:溶液冷卻後,用了0.30 M的鹽酸32毫升,才中和了溶液中過量的氫氧化鈉,則其所 合成的阿司匹靈純度,最接近下列哪一數值? (A) 25% (B) 49% (C) 60% (D) 98%
43. 在縫合傷口時,若使用生物可分解的縫線,則在癒合後不需拆線。一般常用的可分解縫線材質,其結構如右: 下列有關此聚合物的敘述,何者正確?(A)此聚合物為聚酯類化合物 (B)此聚合物是由單體以加成反應聚合而成 (C)聚合物的構成單元間是以醚基連結,所以容易在生物體內被酵素分解 (D)構成此聚合物的單體只含有1種官能基
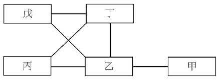
44. 濃度均為0.1M的五種水溶液:AgNO3、NaBr、HCl、Na2S、Na2CO3,有如下圖所 示的相互反應關係,亦即將圖中每條連線兩端的溶液等量混合,都會有明顯可辨認 的化學反應,則下列哪一化學式是溶液丁的溶質?(A) AgNO3 (B) NaBr (C) HCl (D) Na2CO3
45. 化合物C6H5-CH2-OOCCH3(結構如右圖)具有茉莉花的香味。 下列關於本化合物的敘述,何者正確? (A)可溶於水 (B)水解後可得苯甲醇與乙酸 (C)分子間具有氫鍵 (D)分子內有6個C以sp2 混成軌域鍵結
47. 賈同學在實驗室發現一瓶標籤已脫落的白色粉末狀試藥,為了探究此未知化合物為 何,於是依照實驗手冊中[凝固點下降的測定]實驗之步驟做了兩組凝固點測定,以 求得此未知物的化學式量。[實驗一]水的凝固點測定:將純水倒入已置於冷劑(食鹽加冰塊)的試管中(圖a), 並立即攪拌,每30秒記錄水的溫度。[實驗二]未知化合物溶液的凝固點測定:秤取9.75克的白色粉末,溶於50毫升的純 水,攪拌使樣品完全溶解,再如實驗一的步驟將此化合物溶液倒入試管中,每30 秒記錄溶液的溫度。賈同學分別將兩組實驗的數據,以時間(分)為橫軸,溫度(℃)為縱軸作圖,得 到如圖b的冷卻曲線。已知水的凝固點下降常數為1.86℃/m,則下列哪一選項最可能是此未知化合物的化 學式? (A) NaCl (B) MgCl2 (C)CH4 (D) C6H12O6
48. 碘酸根離子與亞硫酸氫根離子反應,生成碘離子,其平衡反應式如下: 林同學在某溫度下操作此實驗,以求反應速率。實驗步驟如下:步驟1:稱取2.0克的可溶性澱粉,以配製500毫升的澱粉溶液備用。步驟2:稱取 Na2S2O5(s) 0.57克,溶於100毫升的水中後,倒入步驟1所配製的澱粉溶液中,並且加入5.0毫升的1.0M硫酸溶液,攪拌均勻,然後加水配製成1公 升的溶液A。步驟3:稱取0.428克KIO3(s),然後加水配製成100毫升的溶液B。步驟4:取 A溶 液 10.0毫升,放入 A試管中;另取 B溶 液 10.0毫升,放入 B 試管中。步驟5:將A和B兩試管的溶液,同時倒入100毫升燒杯,並迅速搖動溶液使其瞬間混合均勻,經過5秒後,溶液瞬間變為藍色,且顏色不再變化。根據上列實驗步驟,HSO3 - 在步驟5中溶液混合後的消失速率(M/s)為何? (A)(B)(C)(D)
49. 將1.92克HI氣體注入1.0公升的真空容器內,在732K下進行下列反應:當反應達平衡時,容器內總壓為0.90大氣壓,則此時HI(g)的分壓為多少大氣壓? (A) 0.50 (B) 0.40 (C) 0.25 (D) 0.20
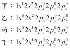
51. 以鋰金屬為負極材料的鈕扣型電池,具有小而輕、能量密度高以及放電穩定的優點。原因除鋰的原子量小且為密度最輕的固態金屬性質外,鋰原子的電子組態也是需要瞭解的環節。底下為鋰原子的一些電子組態:
下列哪一項依序為能量最高和最低的組態? (A)丙和丁 (B)乙和丁 (C)丙和甲 (D)乙和甲
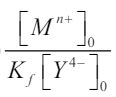
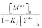
55. EDTA(簡寫為H4Y)可以脫去4個氫離子(H+),形成 Y 4 -。金屬離子( M n+ )會 與脫氫後的 Y4 -形成錯合離子 ,其所對應的平衡常數(Kf)可表示為已知某溶液中的金屬離子與Y4-離子的起始濃度分別為,且 。若錯合反應平衡後,溶液中的金屬離子濃度為離子的濃度依然維持在 的表示式為何? (A) (B) (C) (D)
56. 二氧化氮與一氧化碳反應後會生成一氧化氮與二氧化碳。已知此氧化還原反應的反應機制與相關的反應常數如下如果步驟1為速率決定步驟,試問此氧化還原的反應速率表示式為何? (A) k1[NO2] 2 (B) k1k2[NO2] 2 [NO3] (C) k1/k2[NO2]/[CO] (D) k1k2[NO2][CO]
67. 防空砲兵看到頭頂正上方有一敵機水平等速飛掠,他估計以仰角θ度,初速V 在此瞬間射出砲彈,恰可以在砲彈飛行最高點擊中敵機。若已知敵機高度200m ,速度 100m / s 。已知重力加速度為10m / s 2 ,且不考慮空氣阻力。試問以下 tanθ ,V 的 選項,何者正確? (A) (B)(C)(D)
68. 一木塊置於光滑斜面上(斜面與水平夾角為θ ),同時此斜面以加速度a 進行水平運動。若希望維持此木塊相對靜止於斜面,則斜面的水平加速度a 應為多少? (A) a =g• tan θ (B)a=g•cosθ (C)a=g / sinθ (D)a=g•sinθ
71. 為了估計延長線發熱燃燒造成火災的情況,小明假設有一條銅質導線為1m長,截面積為1mm2 ,將此銅線通入10 A電流。若其發熱電功率完全自行吸收能量,造成 銅線溫度上升,且無其他熱散失的情況下,試問此銅線每秒上升幾度? (已知銅 的電阻率約= 1.8 10-8 Ω •m ,密度= 9g /cm3 ,比熱=0.4J / g•℃) (A)每秒上升0.05℃ (B)每秒上升0.1℃ (C)每秒上升0.5℃ (D)每秒上升1℃
76. 一質點以O為圓心在一水平面上作等速率圓周運動,其速率為v ,如下圖所示。 甲、乙、丙、丁、戊皆在圓周上,如果以甲點為參考點測量質點的角動量,則該質 點角動量時間變化率的量值在圖中哪一處最大?(A)乙 (B)丙 (C)丁 (D)戊
77. 氫原子在其能階間躍遷時可發出光,因此可當作光源,稱作氫燈,現以下圖所示的裝置利用氫燈來做雙狹縫干涉實驗,濾光鏡只能讓特定波長的光波通過。已知雙狹縫的間距為100μm,雙狹縫和屏幕的距離為1.00m,屏幕上觀察到的兩相鄰暗紋的距離為6.56mm,則下列哪些選項正確? (A)圖中狹縫S0 的目的是為了先做單狹縫繞射實驗,再做雙狹縫干涉實驗 (B)氫燈所發的光,有一部分的波長為656nm (C)濾光鏡的顏色為藍色 (D)氫燈發光係氫原子由低能階狀態躍遷到高能階狀態
78. 光碟表面以凹點記錄訊息,其放大側視的示意圖如下圖所示。圖中讀取訊號的雷射光束中之甲與乙兩光線在經過光碟表面反射之後,疊加成為建設性干涉。如果丙與丁兩光線可疊加成為破壞性干涉,則凹點底部的深度可為雷射 光束波長的多少倍?(A) 2 (B) 3/2 (C) 1/4 (D) 1/2
79. 某一LED燈組,其光強度對波長的關係如圖c所示,黃-紅光範圍的光強度比藍光 範圍的光強度大很多。某生以此光源照射某一金屬,進行光電效應實驗,發現皆可 產生光電子,如圖d所示。設可變直流電源的電位為V (集電極電位相對於發射極 電位)、量測到的光電流為 I ,則下列何者為該實驗所測得的 I -V 關係圖?(A)(B)(C)(D)