所屬科目:結構分析(包括材料力學與結構學)
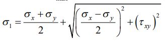
一、如圖(a)所示某點之平面應力元素,已知 τxy= 60MPa。當此元素逆時針旋轉θ 後,如圖(b)所示為主應力平面,其最大正向應力及最小正向應力分別是 σ1=250MPa、 σ2= 50MPa。當0<θ<45° ,求正向應力σx、σy、及 其最大平面剪應力τmax。(25 分)提示:
二、如圖所示實心圓形斷面桿件,a 點及 c 點為固定端, b 點承受扭矩 T=9kN - m作用。ab 桿件及 bc 桿件有相同圓形斷面直徑為d=80mm, ab 桿件及 bc 桿件材料之剪力彈性模數分別是 G1=40GPa、G2=75GPa。 求固定端 c 點扭矩、b 點扭轉角、bc 桿件斷面的極慣性矩及最大剪應力。 (25 分提示:
三、如圖示平面結構,a點為鉸支承,d 點為滾支承,b點為鉸接。ab、bc及 cd 皆為剛性桿件,剛性桿件撓曲剛度及軸向剛度皆為無限大,上、下彈簧有相同彈簧係數k=1800kN/m。求上彈簧及下彈簧內力、b點水平位移。(25 分)
四、如圖示剛架結構,不考慮桿件的軸向變形,a點及d 點為固定端,桿件有相同彈性模數 E 與慣性矩 I,且 EI = 30000kN - m2。已知bc桿件剪力為零,求a點固定端彎矩、b點轉角及垂直位移。(25 分)