阿摩線上測驗
登入
首頁
>
分析化學(含儀器分析)
> 113年 - 113 關務特種考試_四等_化學工程(選試英文)、化學工程(選試日文):分析化學概要#119516
113年 - 113 關務特種考試_四等_化學工程(選試英文)、化學工程(選試日文):分析化學概要#119516
科目:
分析化學(含儀器分析) |
年份:
113年 |
選擇題數:
0 |
申論題數:
13
試卷資訊
所屬科目:
分析化學(含儀器分析)
選擇題 (0)
申論題 (13)
(一)分別以 Q 檢定(Q-test)及 95%信賴水準(confidence level),檢定 9.3 μM 的訊號和空白試劑的訊號是否需排除最後一個數據。(8 分)
(二)依據檢定後的數據計算偵測極限時訊號的強度及定量極限濃度。(8 分)
(三)請計算當樣品訊號為 9.0 nA 的濃度值。(4 分)
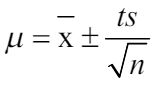
註:95%信賴水準:測量次數 6、7 及 8 對應的 Q 值分別為 0.625、 ts 0.568 及 0.526。信心區間(confidence interval)計算公式
, 95%信賴水準:t = 2.447(自由度 6);t = 2.365(自由度 7);t = 2.306 (自由度 8)。
(一)於 1 升的水溶液中,可溶解多少克的碘化鉛?
(二)於 1 升的 0.0634 M NaI 水溶液中,可溶解多少克的碘化鉛?
(一)以 147.6 毫克的氯化鈉標定硝酸汞溶液時,需消耗 28.06 毫升的硝酸汞 溶液,試問硝酸汞溶液的體積莫耳濃度(molarity)為何?
(二)以標定後的硝酸汞溶液來滴定 2 毫升尿液,需消耗 22.83 毫升的硝酸汞溶液,試問尿液中氯離子的濃度為多少 mg/mL?
註:原子量 Hg = 200.59, O =15.999, Cl = 35.453, N =14.006, Na =22.989
(一)請計算到達當量點時,需消耗多少毫升的 Fe
2+
溶液?(5 分)
(二)加入 12 毫升 Fe
2+
溶液後,pFe 值為多少?(10 分)
(三)到達當量點時,pFe 值為多少?(10 分)
(四)加入 14 毫升 Fe
2+
溶液後,pFe 值為多少?(5 分)
(一) Pt(s)| H
2
(g, 0.100 bar)| H
+
(aq, pH = 3.14)|| Cl
-
(aq, 0.100 M)| Hg
2
Cl
2
(s)| Hg(l)| Pt(s) (Hg
2
Cl
2
, E
0
= 0.268 V)
(二) Pt(s)| Cr
2+
(aq 0.0250 M), Cr
3+
(aq 0.0250 M)|| Tl
+
(aq, 1.0 M)| Tl(s)
(Tl
+
, E
0
= -0.336 V),(Cr
3+
, E
0
= -0.42 V)
相關試卷
115年 - 115 關務特種考試_四等_化學工程(選試英文):分析化學概要#138991
115年 · #138991
114年 - 114 地方政府公務特種考試_四等_化學工程:分析化學概要#134790
114年 · #134790
114年 - 114 地方政府公務特種考試_三等_環境檢驗:分析化學#134696
114年 · #134696
114年 - 114 公務升官等考試_薦任_商品檢驗:分析化學(包括儀器分析)#133266
114年 · #133266
114年 - 114 調查特種考試_三等_化學鑑識組:分析化學#129589
114年 · #129589
114年 - 114 普通考試_環境檢驗、化學工程:分析化學概要#128787
114年 · #128787
114年 - 114 高等考試_三級_環境檢驗:分析化學#128626
114年 · #128626
114年 - 114 一般警察特種考試_三等_消防警察人員:分析化學(含儀器分析)#127788
114年 · #127788
114年 - 114 一般警察特種考試_二等_刑事鑑識人員材料及化學物品鑑析組:分析化學(含儀器分析)#127709
114年 · #127709
114年 - 114 關務特種考試_四等_化學工程(選試英文):分析化學概要#126659
114年 · #126659