所屬科目:泉勝◆基本電學(上冊)
1. 如圖所示電路,下列何者正確?(台糖 111)(A) 總電荷量 QT= 528μC(B)VC1 = 4.36V(C)VC2 = 8V(D)VC3 = 4V
2. 如右圖所示為流進 100μF 電容器的電流波形,0~1 秒為 10mA,1~2 秒為–10 mA,2~3 秒為 10mA,其他時間為 0 mA,假設此電容器不漏電,計算儲存在電容器中的電荷量為何?(地方特考 111)
(A)10 庫倫 ( C ) (B)10 毫庫倫 (mC)(C)30 庫倫 ( C ) (D)30 毫庫倫 (mC)
3. 如右圖所示的電容器,關於此電容器的電容量與誤差規格及耐壓的標示為104K450V,下列敘述何者正確?(地方特考 111)(A) 電容量 0.1μF 誤差 10% (B) 電容量 0.1μF 誤差 5%(C) 電容量 0.01μF 誤差 10% (D) 電容量 0.01μF 誤差 5%
4. 有一 10mF 之電容器,其兩端電壓為 2V,現以 1mA 之直流電加於此電容器上使電壓上升,經過 10 秒後,電容器兩端電壓為何?(地方特考 111)(A)2.5V (B)3V (C)3.6V (D)4V
5. 請問平行板電容器中間的介質所使用材質通常為?(自來水 111)(A) 導體 (B) 半導體 (C) 絕緣體 (D) 沒有限制
6. 一個 20μF 電容器以 30 微安培之定電流源充電,若電容器充電前電壓為零,則充電 20 秒後電容器上的電壓為多少伏特 (V) ?(台北捷運 112)(A)60V (B)30V (C)20V (D)10 V
7. 有兩顆陶瓷電容,包裝上分別標示 103、224,請問並聯接線後,總電容量為多少 μF ?(台糖 112)(A)0.12μF (B)0.21μF (C)0.23μF (D)0.32mF
8. 下列有關電力線的敘述,何者錯誤?(台糖 112)(A) 導體內部無電力線存在(B) 電力線由正電荷出發止於負電荷(C) 電力線永不相交(D) 電場強度與單位面積內的電力線成反比
9. 有兩個電容器串聯相接,其電容量分別為 6μF 與 3μF,耐壓均為 100 伏特(V)。加以 90 伏特 (V) 直流電壓,計算 6μF 電容器之儲存能量為何?(鐵路、國安特考 112)(A)810 微焦耳 (B) 2700 微焦耳 (C)5400 微焦耳(D)10800 微焦耳
10. 小新買到一顆標示 10–10F 的電容器,可簡寫為?(台菸 113)(A)100pF (B)100nF (C)1mF (D)0.01nF
11. 小新在收音機的電路圖中看見一顆陶瓷電容器,電容器上標示 "104",則其電容量應為多少?(台菸 113)(A)0.0001uF (B)0.001uF (C)0.01uF (D)0.1uF
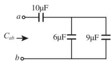
12. 如右圖所示,Cab 的值為?(台菸 113)(A)(20/3)µF (B)2µF(C)6µF (D)25µF
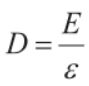
13. 電場強度 E 與電通密度 D 之關係為何?(台菸 113)(A)(B)D=εE(C)(D)D=4πεE
14. 下列有關磁力線之敘述何者有誤?(台菸 113)(A) 磁力線為封閉曲線(B) 磁力線恆不相交(C) 磁鐵內部磁力線係由 N 極至 S 極(D) 磁力線本身具有緊縮的特性
15. 導磁係數 µ = µ0×µr,在 MKS 制中等於 µ0?(台菸 113)(A)10–7(B)4π×10–7(C)1.6×10–19(D)9×10–9
16. 如圖所示之電路,在穩態狀態下經過之電流 I 等於多少安培 ( A ) ?(初等考 113)
(A)0A (B)1A(C)10A (D)100A
17. 如圖所示電路中,10μF 電容和 20μF 電容串聯連接到一個 9 伏特 (V) 直流電壓源,關於此電路的敘述,下列何者正確?(初等考 113)(A) 10μF 的電容器與 20μF 電容器串聯後的等效電容量為 30μF(B) 20μF 的電容器所儲存的電荷量為 10μF 電容器所儲存電荷量的 2 倍(C) 10μF 的電容器儲存的電荷量為 60 微庫倫 (μC)(D) 20μF 的電容器所儲存的電位能為 10μF 電容器所儲存電位能的 2 倍
18. 平板電容器之電容量(台鐵 113)(A) 與距離平方成反比 (B) 與面積成反比,與距離成正比(C) 與面積平方成正比 (D) 與平板面積成正比,與間隔距離成反比
19. 電容器 C1 = 2μF 耐壓 300V,電容器 C2 = 6μF 耐壓 500V。若將 C1 及 C2串聯,則其總耐壓為何?(台鐵 113)(A)800V (B)600V (C)500V (D)400V
20. 有一電容器標示為 55×10–9F,此電容器相當於多少 μF ?(台鐵 113)(A)55μF (B)5.5μF (C)0.55μF (D)0.055μF