所屬科目:泉勝◆基本電學(上冊)
1.以下實驗,磁棒插入與抽出,均有電流,磁棒不動則沒有電流。(A)A (B)B
2.以下實驗,開關的切入與斷開均有電流,開關不動則沒有電流。(A)A (B)B
3.以下實驗,磁棒插入與抽出,均有電流,表示磁通的變化可以產生電動勢ɛ。
(A)A (B)B
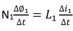
4.ɛ=(單位伏特,V)。(A)A (B)B
5.楞次定律是 ɛ=(單位伏特,V)。(A)A (B)B
6.負號代表感應電動勢的方向為反抗原磁通的變化方向。(A)A (B)B
7.下圖電流由 A 流向 B。(A)A (B)B
8.下圖電流由 A 流向 B。(A)A (B)B
9.下圖開關 S 接通瞬間,右邊負載電流由 A 流向 B。(A)A (B)B
10.下圖開關 S 打開瞬間,右邊負載電流由 A 流向 B。(A)A (B)B
11.下圖 i1 變動時,電感會自感電動勢 eL,其大小是(伏特,V)。(A)A(B)B
12.下圖 i1 由小變大時,電感會自感電動勢 eL,其方向是由 A 流入。(A)A (B)B
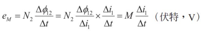
13.下圖下圖 i1 變動時,右邊電感會互感應一個電動勢 eM,其大小是:(A)A (B)B
14.下圖 ψ22 是互感磁通,其方向是逆時針。(A)A (B)B
15.下圖左邊,若 i1 由小變大,則右邊電感所感應的電動勢,C 端為負,D 端為正。(A)A (B)B
1.有一線圈匝數 10 匝,通過線圈的磁力線在 4 秒內由 4 韋伯增加到 16 韋伯,試計算該線圈的感應電動勢為多少伏特?(A)6V(B)10V(C)25V(D)30V
2.有一線圈匝數 20 匝,通過線圈的磁力線在 2 秒內由 10 韋伯增加到 22韋伯,試計算該線圈的感應電動勢為多少伏特?(A)60V(B)80V(C)100V(D)120V
3.電感器如圖,N1 的自感 L1=5 H,當 i1 在 0.1 秒內由 0.3A 增加到 0.8A 時,試求: N1 的自感應電勢 eL=?(A)6V(B)10V(C)25V(D)30V
4.下圖中,N1 的自感 L1=5H,N2 的自感 L2=8H,互感 M=2H,當 i1 在 0.1 秒內由 0.3A 增加到 0.8A 時,試求:在 N2 產生的互感應電動勢 eM。(A)6V(B)10V(C)25V(D)30V
5. A、B 兩個線圈緊鄰放置,A 線圈有 200 匝,B 線圈有 300 匝,若線圈 A 在1 秒內電流增加 5A,使得交鏈至線圈 B 的磁通由 0.2Wb 增加至 0.3Wb,則線圈 A、B 之間的互感為多少?(統測 106)(A) 6H (B) 5H (C) 4H (D) 2H
6. A、B 兩線圈相鄰放置,線圈 A 有 800 匝,線圈 B 有 1000 匝。控制線圈 A 之電流在 1 秒內線性增加 10A,使得線圈 B 之磁通量因而由 0.8Wb 線性增加至 0.9Wb,則線圈 B 之互感應電勢大小為何?(統測 108) (A) 1000V (B) 800V (C) 100V (D) 10V
7.若流經一理想電感器的電流為一脈動直流電流,則下列敘述何者正確?(統測 108) (A) 電感器沒有儲存能量 (B) 電感器兩端之感應電壓恆為零 (C) 電感器兩端之感應電壓恆為正 (D) 電感器兩端之感應電壓可能為正或負
8.一線圈之感應電動勢等於零,則該線圈之磁通量如何變化?(統測 109)(A) 隨時間線性增加(B) 隨時間線性遞減(C) 與時間平方成正比(D) 不隨時間變化