所屬科目:泉勝◆基本電學(上冊)
1. 電感量、電感、電感值、電感大小都是相同,符號都是 H,單位是亨利,單位符號是 H(A)O (B)X
2. 若將有絕緣皮金屬線或漆包金屬線纏繞成圓柱狀就是電感器,就有電感 (A)O (B)X
3. 載流導線是指導線有電流通過 (A)O (B)X
4. 載流導線周圍就有磁場 B,有磁場就有磁通量ψ (A)O (B)X
5. 磁通量ψ的單位是韋伯,單位符號 Wb (A)O (B)X
6. 磁通量 (magnetic flux),符號ψ,導線僅繞 1 圈的磁通量ψ =B •A(點積 運算)=BAcosθ。(A)O (B)X
7. 磁通量ψ =B •A(點積運算)=BAcosθ,θ 是 B 與截面積 A 的夾角 (A)O (B)X
8. N 是線圈匝數,Nψ定義為磁通鏈 λ (A)O (B)X
9. 磁通鏈 λ 的單位是韋伯,單位符號 Wb (A)O (B)X
10. 電感 L 定義為單位電流 I,所通過的磁通鏈 λ,L=λ/I=Nψ/I (A)O (B)X
11. 電感、電感量、電感大小符號都是 L,單位是亨利,單位符號是 H (A)O (B)X
12. 某一電感器,通過 2A 電流,得到 4Wb 的磁通鏈,則其電感為 1H (A)O (B)X
13. 影響電感 L 大小的因素有導磁係數 μ、截面積 A、匝數 N 與線圈長度 l,其 關係是 L = μAN²/l (A)O (B)X
14. 有一電感,其電感是 1H,若將截面積調整為 2 倍,則電感變為 4H (A)O (B)X
15. 有一電感,其電感是 1H,若將匝數調整為 2 倍,則電感變為 2H (A)O (B)X
16. 有一電感,其電感是 2H,若將長度調整為 2 倍,則電感變為 2H (A)O (B)X
17. 電容的色環標示,其單位為 pF (A)O (B)X
18. 電感的色環標示,其單位為 uH (A)O (B)X
19. 有一電感色環分別是「棕黑金銀」,代表是 1uH (A)O (B)X
20. 有一電感色環分別是「棕黑紅銀」,代表是 1uH (A)O (B)X
21. 有一電感色環分別是「棕黑橙銀」,代表是 1mH (A)O (B)X
22. 電感的數碼標示,基本電位是 uH (A)O (B)X
23. 電感數碼標示 122J,即表示 1.2mH±5% (A)O (B)X
24. 電感數碼標示 303K,即表示 30mH±10% (A)O (B)X
25. 磁力線跑到相鄰的電感器,也會產生電感量,此稱為互感 M (A)O (B)X
26. (A)O (B)X
27. (A)O (B)X
28. (A)O (B)X
29. 電感器 1 的互磁通與電感器 1 的所有磁通ψ1的比值,定義為耦合係數 (coefficient of coupling),符號為 (A)O (B)X
30. (利哼,L)(A)O (B)X
31. 若兩電感串聯,且擺放位置相距很遠,則兩電感無互感 (A)O (B)X
32. 電感無互感串聯,總電感量: (A)O (B)X
33. 若兩電感擺放位置距離相近,則兩電感磁力線相通,會有互感 (A)O (B)X
34. 有互感的串聯又分為串聯互助與串聯互消 (A)O (B)X
35. 若兩個電感的線圈纏繞方向相同,則自感磁力線與互感磁力線方向相同, 總磁力線有相加的效果,稱為串聯互助 (A)O (B)X
36. 串聯互助,其總電感量 = (L1 + M) + (L2 + M) = L1 + L2 + 2M(亨利,H)(A)O (B)X
37. 下圖表示串聯互助
(A)O (B)X
38. 下圖表示串聯互消
39. 若兩個電感的線圈捲繞方向相反,此稱為串聯互消,表示互感的磁力線與 自感磁力線方向不同,總磁力線相減 (A)O (B)X
40. 串聯互消,其總電感量 LT= (L1–M) + (L2–M) = L1 + L2–2M(亨利,H)(A)O (B)X
41. 下圖表示串聯互助
42. 下圖表示串聯互消
43. 下圖表示串聯互消
44. 下圖 A,B 為串聯互消
45. 下圖 B,C 為串聯互消
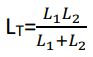
46. 下圖 A,C 表示串聯互消
47. 無互感並聯的總電感是為各電感倒數之和再倒數 (A)O (B)X
48. 無互感並聯的總電感 (亨利,H)(A)O (B)X
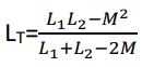
49. 並聯互助,總電感(亨利,H)(A)O (B)X
50. 並聯互消,總電感 (亨利,H)(A)O (B)X
51. 並聯互助,總電感 (亨利,H)(A)O (B)X
52. 下圖是並聯互消
53. 下圖是並聯互消
54. 下圖是並聯互消
55. 下圖是並聯互消
56. 下圖表示串聯互消
57. 下圖表示串聯互消
58. 下圖是串聯互助
59. 電感器是以磁場的形式儲存能量 (A)O (B)X
60. 電感器的儲能為 W = (NψI)/2(焦爾,J)(A)O (B)X
61. 電感器的儲能為 L = (LI²)/2(亨利,H)(A)O (B)X