阿摩線上測驗
登入
首頁
>
技檢◆化學-有機物檢驗-甲級
> 114年 - 03001 化學─有機物檢驗 甲級 工作項目 03:有機物性測定 201-232(2025/10/21 更新)#132498
114年 - 03001 化學─有機物檢驗 甲級 工作項目 03:有機物性測定 201-232(2025/10/21 更新)#132498
科目:
技檢◆化學-有機物檢驗-甲級 |
年份:
114年 |
選擇題數:
32 |
申論題數:
0
試卷資訊
所屬科目:
技檢◆化學-有機物檢驗-甲級
選擇題 (32)
複選題
201. 乙酸乙酯、乙醚、硝基甲烷以逆相 HPLC 層析,下列有關層析順序的敘述,哪些正確? (A)乙酸乙酯在乙醚之前 (B)乙酸乙酯在硝基甲烷之前 (C)硝基甲烷在乙醚之前 (D)乙醚在硝基甲烷之前 。
複選題
202. 下列參數,哪些無法用於層析法的定量? (A)峰高 (B)相對滯留值 (C)半峰寬 (D)峰面積 。
複選題
203. 下列決定 GC 層析柱使用上限溫度的因素,哪些錯誤? (A)試樣中沸點最低成分的沸點 (B)試樣中各成分沸點的平均值 (C)固定液的沸點 (D)固定液的最高使用溫度 。
複選題
204. 下列雙波長分光光譜儀與單波長分光光譜儀的組件,哪些相同? (A)光源的種類 (B)檢測器的個數 (C)吸光槽個數 (D)單色光器的個數 。
複選題
205. 某有機酸 pK
a
值為 12.35,下列 K
a
值哪些正確? (A)4.467×10
- 1 3
(B)4.47×10
- 1 3
(C)4.5×10
-1 3
(D)4.5×10
- 12
。
複選題
206. 下列分析方法,哪些無法檢測生物體中 2×10
- 1 7
M 的磷酸三腺甙(ATP)?(A)X 螢光光譜法 (B)螢光光譜法 (C)磷光光譜法 (D)化學發光法 。
複選題
207. 含乙酸甲酯、丙酸甲酯及丁酸甲酯的混合物,經層析後圖譜顯示相對面積分別為 17.6、44.7、33.1,若各化合物的相對偵檢感應因子分別為0.65、0.83、0.92,下列各化合物的百分濃度,哪些正確? (A)乙酸甲酯11.4% (B)丙酸甲酯 37.10% (C)丙酸甲酯 48.09% (D)丁酸甲酯 37.08% 。
複選題
208. 用 1 3CNMR 分析 C
1
H
3
-C
2
H
2
-C
3
H
2
-C
4
H
2
-O-C
5
H=C
6
H
2
,下列化學位移大小的排列,哪些正確? (A)1>2>3 (B)6>2>5 (C)4>3>2 (D)5>6>1 。
複選題
209. 下列哪些化合物,具有光學活性? (A)
(B)
(C)
(D)
。
複選題
210. 下列哪些是天然橡膠的結構?(A)
(B)
(C)
(D)
。
複選題
211. 下列哪些化合物的質譜(Mass spectrum)不會有一明顯的 M+2 訊號峰?(A)
(B)
(C)
(D)
。
複選題
212. 下列有關核磁共振光譜提供的分子資訊,哪些錯誤? (A)共軛π電子系統(B)分子大小 (C)碳-氫骨架 (D)分子式 。
複選題
213. 葡萄糖的比旋光度
=+52.7°,下列哪些敘述正確? (A)能夠使平面偏極光順時針旋轉者為右旋,以(+)表示 (B) 表示在 20℃使用鈉 D 線為光源測得之比旋光度 (C)平面偏極光是光線通過偏光鏡後,光波只能在單一平面極化的光 (D)光學異構物的旋光性也稱為組態,順時針方向以(R)表示 。
複選題
214. 下列那些化合物在紅外線會有吸收? (A)2,3-二甲基-2-丁烯 (B)2-丁炔 (C)2-丁酮 (D)苯胺 。
複選題
215. 下列有關安非他命(C
6
H
5
CH
2
CH(NH
2
)CH
3
)性質的敘述,哪些正確? (A)在稀酸的溶解度比在純水小 (B)水溶液會使 FeCl
3(aq )
呈紫色 (C)水溶液會使紅色石蕊變藍 (D)為一級胺類 。
複選題
216. 下列有關醇類性質的敘述,哪些正確? (A)醇類與水會產生氫鍵,因此在3 個碳以下的醇,對水溶解度為無窮大 (B)沸點比較:第三丁醇>第二丁醇>第一丁醇 (C)醇類為兩性化合物,可溶於酸亦可溶於鹼 (D)含有兩個羥基的醇,稱為二元醇 。
複選題
217. 下列胺基酸的組態,哪些屬於 R 型?(A)
(B)
(C)
(D)
。
複選題
218. 下列哪些化合物具有對掌性?(A)
(B)
(C)
(D)
。
複選題
219. 下列各組化合物,哪些可以利用碳-13 光譜之峰數區分?(A)
(B)
(C)
(D)
。
複選題
220. 下列哪些原子核具有核磁共振訊號? (A)
1
H (B)
12
C (C)
19
F (D)
31
P 。
複選題
221. 下列各組化合物,哪些可容易依據紅外線光譜圖區分? (A)3−戊酮及 2−戊酮 (B)乙酸乙酯及 4−羥基−2−丁酮 (C)2−丁炔及 1−丁炔 (D)正丁醇及乙醚 。
複選題
222. 下列分子或離子中,哪些結構呈平面? (A)
(B)
(C)
(D)
。
複選題
223. 有關 2,3-二氯戊烷異構物的費雪投影(如下圖)的敘述,哪些正確?
(A)甲、丁互為鏡像異構物 (B)等量乙、丙為外消旋混合物 (C)乙、丁互為非鏡像異構物 (D)丁為內消旋化合物 。
複選題
224. 下列哪些醣是 D 型的?(A)
(B)
(C)
(D)
。
複選題
225. 有關蠟的敘述哪些正確? (A)石蠟為石油中得到的高級烷 (B)棕櫚蠟為棕櫚葉上的長鏈醇 (C)鯨蠟主成分為從鯨魚得到的酯 (D)羊毛脂是指附著在羊毛上的脂肪酸 。
複選題
226. 下列有關天然蛋白質的結構敘述,哪些正確? (A)含有許多醯胺官能基(B)透過硫醚官能基(R-S-R)來形成環狀結構 (C)其中不對稱碳原子多為(S)組態 (D)氫鍵能穩定其中的α-螺旋結構 。
複選題
227. 下列敘述哪些正確? (A)果糖甜度低於蔗糖 (B)肝醣稱為動物澱粉,可分解為葡萄糖 (C)直鏈澱粉稱為溶膠澱粉,在水中可以溶解 (D)纖維素為α-葡萄糖聚合而成,人體無法消化 。
複選題
228. 下列有關醣類的敘述,哪些正確? (A)葡萄糖是醣類中最甜的單糖 (B)雙醣的結構均含有 8 個羥基 (C)澱粉的化學式通常寫為(C
6
H
10
O
5
)
n
(D)單醣在水中多以環狀存在 。
複選題
229. 下列有關油類與脂肪類的敘述,哪些正確? (A)脂肪類為長鏈飽和脂肪酸甘油酯 (B)油類為長鏈不飽和脂肪酸甘油酯 (C)油脂的三分子脂肪酸均相同,稱為簡單甘油酯,天然的油脂通常為簡單甘油酯 (D)油脂中不飽和酸成分愈高,熔點愈低 。
複選題
230. 下列有關鹵烷類性質的敘述,哪些錯誤? (A)CH
3
CHClCH
3
為第一級鹵烷(B)沸點比較:CH
3
Cl<CH
3
Br<CH
3
I (C)不易溶於苯中,而易溶於水中 (D)密度比較:C
5
H
11
Cl>C
5
H
11
Br>C
5
H
11
I 。
複選題
231. 下列有關羧酸性質的敘述,哪些正確? (A)羧酸可以溶以水,但是碳數愈多,溶解度愈小 (B)低碳數羧酸,具有強烈刺激味道 (C)酸性強弱:2-氯丁酸>3-氯丁酸>4-氯丁酸 (D)酸性強弱:ClCH
2
COOH<BrCH
2
COOH<ICH
2
COOH<CH
3
COOH 。
複選題
232. 下列有關丁烯二酸順,反異構物的性質,哪些正確? (A)對水溶解度:順式>反式 (B)由順式加 12M 的 HCl 加熱可以製取反式 (C)沸點:順式>反式 (D)酸性:順式<反式 。
申論題 (0)
相關試卷
114年 - 03001 化學─有機物檢驗 甲級 工作項目 04:實驗管理 1-48(2025/10/21 更新)#132499
114年 · #132499
114年 - 03001 化學─有機物檢驗 甲級 工作項目 03:有機物性測定 151-200(2025/10/21 更新)#132497
114年 · #132497
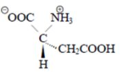
114年 - 03001 化學─有機物檢驗 甲級 工作項目 03:有機物性測定 101-150(2025/10/21 更新)#132496
114年 · #132496
114年 - 03001 化學─有機物檢驗 甲級 工作項目 03:有機物性測定 51-100(2025/10/21 更新)#132495
114年 · #132495
114年 - 03001 化學─有機物檢驗 甲級 工作項目 03:有機物性測定 1-50(2025/10/21 更新)#132494
114年 · #132494
114年 - 03001 化學─有機物檢驗 甲級 工作項目 02:有機化性測定 201-234(2025/10/21 更新)#132493
114年 · #132493
114年 - 03001 化學─有機物檢驗 甲級 工作項目 02:有機化性測定 151-200(2025/10/21 更新)#132492
114年 · #132492
114年 - 03001 化學─有機物檢驗 甲級 工作項目 02:有機化性測定 101-150(2025/10/21 更新)#132491
114年 · #132491
114年 - 03001 化學─有機物檢驗 甲級 工作項目 02:有機化性測定 51-100(2025/10/21 更新)#132490
114年 · #132490
114年 - 03001 化學─有機物檢驗 甲級 工作項目 02:有機化性測定 1-50(2025/10/21 更新)#132489
114年 · #132489