所屬科目:技檢◆門窗木工-甲級
(A)敏仔線刀(花線刀) (B)T形刀 (C)清底刀 (D)修邊刀 。
(A)敏仔線刀(花線刀) (B)T形刀 (C)清低刀 (D)修邊刀 。
(A)鑽孔機 (B)立軸機 (C)圓鋸機 (D)花鉋機 。
(A)(B)(C) (D)160×90×40
(A)鋸帶向左移動,齒尖向右產生毛邊 (B)鋸帶向右移動,齒尖向左產生毛邊 (C)鋸帶向左移動,齒尖向左產生毛邊 (D)鋸帶向右移動,齒尖向右產生毛邊 。
(A)200 ㎜ (B)150 ㎜ (C)250㎜ (D)400 ㎜ 。
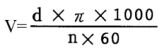
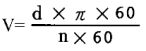
(A)1500 轉/分 (B)600 轉/分 (C)大於 1500 轉/分 (D)大於 600 轉/分 。