阿摩線上測驗
登入
首頁
>
技檢◆測量-工程測量-乙級
> 114年 - 04202 測量─工程測量 乙級 工作項目 01:測繪資料分析 1-50(2025/10/28 更新)#132653
114年 - 04202 測量─工程測量 乙級 工作項目 01:測繪資料分析 1-50(2025/10/28 更新)#132653
科目:
技檢◆測量-工程測量-乙級 |
年份:
114年 |
選擇題數:
50 |
申論題數:
0
試卷資訊
所屬科目:
技檢◆測量-工程測量-乙級
選擇題 (50)
1. 誤差依其發生之來源分為幾種? (A)二 (B)三 (C)四 (D)五 。
2. 在平面測量中,各點之方格北均視為 (A)指向同一點 (B)相交 (C)平行 (D)垂直 。
3. 觀測一測線之磁方向角為 N88°45'E;而其真方向角為 N89°45'E,則觀測地之磁偏角為 (A)1°偏東 (B)1°偏西 (C)2°偏東 (D)2°偏西 。
4. 子午線收斂角為 (A)方格北與磁北之夾角 (B)磁北與正北之夾角 (C)正北與方格北之夾角 (D)磁針受磁性物質影響偏離磁北所成之夾角 。
5. 一測線之方位角與其反方位角相差 (A)90° (B)180° (C)270° (D)45° 。
6. 若二測線之方向角為 S30°40'W;S50°55'W,則其夾角為 (A)20°15' (B)20°25' (C)40°25' (D)81°35' 。
7. 一測線之方向角為 N30°W,則相當於方位角 (A)150° (B)210° (C)240° (D)330° 。
8. 於水準面上任一點作一切面,則在此面上距該點一公里遠處離水準面約有________之高差。 (A)3cm (B)5cm (C)8cm (D)15cm
9. 設 AB 及 AC 兩測線之方位角分別為 165°及 265°,則∠BAC 為 (A)70° (B)100° (C)215° (D)95° 。
10. 台灣地區水準基面係使用何處之平均海水面? (A)高雄港 (B)花蓮港 (C)基隆港 (D)蘇澳港 。
11. 作為高程起算之面為 (A)水準面 (B)水平面 (C)大地水準面 (D)海平面 。
12. 測量之精度,一般係以 (A)標準誤差(中誤差) (B)真誤差 (C)平均誤差 (D)或是誤差 表示之。
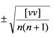
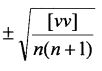
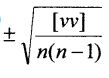
13. AB 長度用鋼卷尺量了 n 次,獲得每次量距之改正數為Vi ,
,則最或是值之標準誤差(中誤差)為 (A)
(B)
(C)
(D)
。
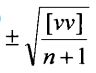
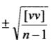
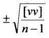
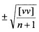
14. AB 長度用鋼卷尺量了 n 次,獲得每次量距之改正數為v
i
,
,則觀測值之標準誤差(中誤差)為 (A)
(B)
(C)
(D)
。
15. 下列各項誤差中,何者不屬於累積誤差? (A)量距所用之拉力與標準拉力不同,有時大、有時小所產生之誤差 (B)尺長不合標準又未校正 (C)捲尺量水平距離時未保持水平 (D)標定直線不準確 。
16. 下列哪一個方向角之讀法錯誤?
(A)A 點方向角為 N35°E (B)B 點方向角為S19°E (C)C 點方向角為 S28°E (D)D 點方向角為 N20°W 。
17. 1970 年測出之磁方向角為 N23°E,磁偏角為 1°E;2000 年時磁偏角為 2°W,則磁方向角讀數變為 (A)N26°E (B)N24°E (C)N22°E (D)N20°E 。
18. 緯度差 1",則其對應之地表距離約為 (A)21m (B)31m (C)41m (D)51m 。
19. 若二測線之方向角為 N30°40'W、S50°55'W,則其夾角為 (A)20°15' (B)98°25' (C)200°15' (D)81°35' 。
20. 台灣地區採用 2°分帶 TM 投影,在中央經線測得一段距離在平均海水面長度為 1000.00m,欲求投影面上之長度,其改正數為 (A)0.01m (B)0.10m(C)-0.01m (D)-0.10m 。
21. AB 之方向角為 S30°W,則方位角ψ
AB
為 (A)60° (B)150° (C)210° (D)330° 。
22. 一測線之磁方向角為 S27°40'E,該地磁偏角為 1°15'偏東,則該測線之真方位角為 (A)153°35' (B)151°5' (C)28°55' (D)26°25' 。
23. 已知 AB 測線之方位角為 200°,BC 測線之方向角為 S80°W,則兩測線之夾角為 (A)10° (B)60° (C)80° (D)120° 。
24. 平面圖上,一般不需要 (A)圖例 (B)指北線 (C)等高線 (D)接合表 。
25. 表示比例尺之方法有 (A)記述法、圖示法、文字法 (B)分數法、文字法、圖示法 (C)長度法、厚度法、深度法 (D)長柱型法、圓柱型法、三角柱法 。
26. 下列各比例尺,以何者為最大? (A)1/2000 (B)1/1200 (C)1/1000 (D)1/500 。
27. 某一距離量測 3 次,各觀測值之改正數分別為:-2cm,+6cm,-4cm;則該距離最或是值之標準誤差為 (A)±6.4cm (B)±5.3cm (C)±4.2cm (D)±3.1cm 。
28. 某一距離量測 3 次,各觀測值之改正數分別為:-2cm,+6cm,-4cm;則觀測值之標準誤差為 (A)±6.4cm (B)±5.3cm (C)±4.2cm (D)±3.1cm 。
29. 實地長 42.3m,在五仟分之一的地圖上之長度應為 (A)84.6cm (B)8.46cm(C)0.846cm (D)0.0846cm 。
30. 地形圖比例尺為 1:25000,已知兩點間之圖面距離為 50cm,則兩點間實際距離為 (A)50km (B)25km (C)12.5km (D)5km 。
31. 土地面積為 1 公頃 2 公畝 3 平方公尺,等於 (A)123m
2
(B)1023m
2
(C)1203m
2
(D)10203m
2
。
32. 有一塊長方形土地長 400m,寬 100m,其面積為 (A)0.4 公頃 (B)4 公頃 (C)40 公頃 (D)400 公頃 。
33. 有一塊長方形土地長為 100m,寬為 20m,試問其面積約為 (A)60.5 坪 (B)121.0 坪 (C)605 坪 (D)1210 坪 。
34. 在 1/500 比例尺的圖上,量得 AB 兩點之距離為 12cm,則該兩點在1/1000 比例尺的圖上,其長度為 (A)3cm (B)6cm (C)24cm (D)48cm 。
35. 假設一直線分為 3 段施測,各段距離值與標準誤差分別為:30.000±0.004m、30.000±0.003m、20.000±0.002m,該直線之距離值與標準誤差為 (A)80.000±0.003m (B)80.000±0.005m (C)80.000±0.007m (D)80.000±0.009m 。
36. 目前我國五萬分一地形圖是使用 (A)三度分帶 TM 投影 (B)二度分帶 TM 投影 (C)UTM 投影 (D)圓錐投影 。
37. 在一地圖上,量度出三點坐標是(20,0)、(0,40)、(30,50),則此三點所圍之面積是 (A)1400 (B)700 (C)1000 (D)600 。
38. 10cm×10cm 之正方形,在 1/1000 地圖上所表示出之面積是 (A)100m
2
(B)1000m
2
(C)10000m
2
(D)100000m
2
。
39. 只顯示地物位置之地圖為 (A)平面圖 (B)斷面圖 (C)地籍圖 (D)地形圖 。
40. 將地球表面投影於平面上,測繪面積愈大,則畸變差 (A)不變 (B)愈大 (C)愈小 (D)視經緯度而定 。
41. 磁偏角為 (A)方格北與磁北之夾角 (B)磁北與正北之夾角 (C)正北與方格北之夾角 (D)子午線與正北之夾角 。
42. 1/50000 地圖之四圖隅點,均註有 (A)方格坐標數值 (B)地籍坐標數值 (C)經緯度數值 (D)縱橫距坐標數值 。
43. 在甲圖上量得兩叉路間之長為 12cm,另於 1/25000 之乙圖上量得相同兩點間長為 2.4cm,則甲圖之比例尺為 (A)1/10000 (B)1/15000 (C)1/5000 (D)1/500 。
44. UTM 之帶區劃分自西經 180°起,每 6°為一帶,全球共 (A)30 帶 (B)40 帶(C)60 帶 (D)70 帶 。
45. 在 1/5000 圖上量得 1cm
2
之面積相應實地多少 m
2
? (A)50 (B)250 (C)2500(D)5000 。
46. 在一 1/1000 比例尺圖上長 100mm、寬 50mm 圍成之面積,其實地面積為 (A)151.25 坪 (B)50 公畝 (C)0.68 甲 (D)5800 平方公尺 。
47. 台灣本島(不含澎湖)所採用之橫麥卡托投影座標系統,其帶寬(經度間距)為 (A)2° (B)3° (C)4° (D)6° 。
48. 正三角形邊長為 47 公里,則其面積為多少 km
2
? (A)1005.3 (B)896.7 (C)935.2 (D)956.5 。
49. 85m
2
相當 (A)22.7 坪 (B)23.7 坪 (C)24.7 坪 (D)25.7 坪 。
50. 台灣地區採用二度 TM 座標系統,其中央子午線之尺度比率為 (A)1 (B)0.9999 (C)0.9996 (D)0.9993 。
申論題 (0)
相關試卷
114年 - 04202 測量─工程測量 乙級 工作項目 06:儀器檢校 1-57(2025/10/28 更新)#132667
114年 · #132667
114年 - 04202 測量─工程測量 乙級 工作項目 05:應用測量 101-143(2025/10/28 更新)#132666
114年 · #132666
114年 - 04202 測量─工程測量 乙級 工作項目 05:應用測量 51-100(2025/10/28 更新)#132665
114年 · #132665
114年 - 04202 測量─工程測量 乙級 工作項目 05:應用測量 1-50(2025/10/28 更新)#132664
114年 · #132664
114年 - 04202 測量─工程測量 乙級 工作項目 04:地形測量 51-101(2025/10/28 更新)#132663
114年 · #132663
114年 - 04202 測量─工程測量 乙級 工作項目 04:地形測量 1-50(2025/10/28 更新)#132662
114年 · #132662
114年 - 04202 測量─工程測量 乙級 工作項目 03:控制測量 151-202(2025/10/28 更新)#132661
114年 · #132661
114年 - 04202 測量─工程測量 乙級 工作項目 03:控制測量 101-150(2025/10/28 更新)#132660
114年 · #132660
114年 - 04202 測量─工程測量 乙級 工作項目 03:控制測量 51-100(2025/10/28 更新)#132659
114年 · #132659
114年 - 04202 測量─工程測量 乙級 工作項目 03:控制測量 1-50(2025/10/28 更新)#132658
114年 · #132658