阿摩線上測驗
登入
首頁
>
技檢◆測量-工程測量-乙級
> 114年 - 04202 測量─工程測量 乙級 工作項目 02:基本測量方法 1-50(2025/10/28 更新)#132655
114年 - 04202 測量─工程測量 乙級 工作項目 02:基本測量方法 1-50(2025/10/28 更新)#132655
科目:
技檢◆測量-工程測量-乙級 |
年份:
114年 |
選擇題數:
50 |
申論題數:
0
試卷資訊
所屬科目:
技檢◆測量-工程測量-乙級
選擇題 (50)
1. 用鋼卷尺量得 A、B 兩點間之斜距為 50.000m,已知 A、B 兩點之高程差為 4.310m,則 AB 之水平距離為 (A)50.186m (B)49.814m (C)50.093m(D)49.907m 。
2. 於傾斜地量距,設傾斜角為θ,斜距為 S,則水平距離為 (A)S‧sinθ(B)S‧cosθ (C)S‧tanθ (D)S‧secθ 。
3. 在 3%斜坡上量距 50m,若視為水平距離時,則其誤差為 (A)0.022m (B)0.033m (C)0.044m (D)0.088m 。
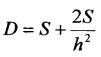
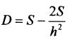
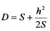
4. 設一斜距離為 S,其兩端之高程差為 h,則水平距離 D 可依下列何者近似公式計算? (A)
(B)
(C)
(D)
。
5. 設一名義長 30m 之鋼卷尺,當溫度在 26.7°C 時,真長與名義長相等,假定量距時之平均溫度為 14.3°C,量得一測線之距離為 358.297m,鋼卷尺之膨脹係數 0.0000116,則經溫度改正後之距離為 (A)358.245m (B)358.348m (C)358.358m (D)358.402m 。
6. 用刻劃為 30m 之鋼卷尺測得 A、B 二點間之距離為 210.00m,事後與標準尺比較得實長為 30.01m,則 A、B 二點間之實長應為 (A)209.93m (B)209.97m (C)210.07m (D)210.03m 。
7. 下列有關水準器靈敏度之敘述,何者正確? (A)靈敏度主要視水準管縱斷面之圓弧半徑而定,半徑愈大,靈敏度愈低 (B)靈敏度主要視水準管縱斷面之圓弧半徑而定,半徑愈大,靈敏度愈高 (C)靈敏度主要視水準管之長度大小而定,長度愈長,靈敏度愈高 (D)靈敏度主要視水準管之長度大小而定,長度愈長,靈敏度愈低 。
8. 水準器之曲率半徑為 21m,則其靈敏度為 (A)10"/2mm (B)20"/2mm (C)30"/2mm (D)40"/2mm 。
9. 水準測量時, (A)前視距離大於後視距離 (B)前視距離小於後視距離 (C)前視距離約等於後視距離 (D)不必考慮前後視距離之關係 。
10. 經緯儀觀測水平角時,常取正鏡及倒鏡觀測之平均值,其目的在消除(A)垂直軸不垂直之誤差 (B)度盤刻劃之誤差 (C)水準軸不與垂直軸垂直之誤差 (D)視準軸不與橫軸垂直之誤差 。
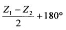
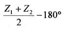
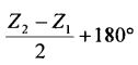
11. 使用天頂距式垂直度盤之經緯儀,觀測一測點之天頂距,設正鏡讀數為Z
1
,倒鏡讀數為 Z
2
,則其正確天頂距為 (A)
(B)
(C)
(D)
。
12. 使用經緯儀測水平角時,下列何種儀器誤差不能藉正倒鏡觀測取其平均值而消除之? (A)視準軸不垂直於橫軸 (B)橫軸不垂直於直立軸 (C)視準軸與橫軸交點不在垂直軸之垂直面上 (D)水準軸不垂直於垂直軸 。
13. 應用經緯儀觀測天頂距,如正鏡讀數為 94°12'44";倒鏡讀數為 265°47'24",則其垂直角為 (A)-4°12'40" (B)+4°12'40" (C)-81°34'40" (D)+81°34'40" 。
14. 以方向組法觀測水平角三測回,則每一測回開始時水平度盤分別為 (A)0°、45°、90° (B)0°、120°、240° (C)0°、60°、120° (D)0°、90°、180° 。
15. 水準測量標尺微小讀數估讀不準之誤差為 (A)累積誤差 (B)系統誤差 (C)偶然誤差 (D)平均誤差 。
16. 水準測量時,讀完後視後如儀器稍有下陷,將使前視點之高程 (A)減小(B)加大 (C)不變 (D)不一定 。
17. 水準測量若標尺扶持不直 (A)向前傾斜時讀數減小 (B)向後傾斜時讀數增大 (C)向前向後傾斜時讀數均增大 (D)向前向後傾斜時讀數均減小 。
18. 下列各種高程測量,以何者精度最高? (A)直接水準測量 (B)三角高程測量 (C)視距高程測量 (D)氣壓高程測量 。
19. 設水平面上二點間距離為 1000m 時,則地球曲率對此二點之高程差為(A)0.08m (B)0.7m (C)0.05m (D)0.5m 。
20. 已知 A 點高程為 31.157m,B 點高程為 31.166m,今自 A 點施實水準測量測至 B 點,得後視讀數和為 16.420m,前視讀數和為 16.431m,則水準閉合差為 (A)+0.020m (B)-0.020m (C)+0.002m (D)-0.002m 。
21. 水準測量各點之距離大約相等,若閉合差未逾規定界限,分配予各點改正數之原則為 (A)與點數成正比例分配 (B)與距離平方成正比例分配 (C)與點數成反比例分配 (D)與距離平方成反比例分配 。
22. 水準測量時,水準儀至前後視標尺距離無法相等且相差甚大,應用何種測量方法以消除視準軸誤差、地球曲面差、大氣折光差﹖ (A)精密水準測量 (B)逐差水準測量 (C)對向水準測量 (D)校核水準測量 。
23. 一水準器之靈敏度為 40"/2mm,當氣泡移動一格,讀相距 100m 之標尺,其相對應之讀數差為 (A)0.2cm (B)2cm (C)0.1cm (D)1cm 。
24. 為提高水準測量之精度,視準軸不可過分接近地面,標尺讀數不得低於(A)2cm (B)5cm (C)30cm (D)50cm 。
25. 在三角高程測量中,兩站對向觀測垂直角以求兩點之高程差,可消除(A)地球曲率差及折光差 (B)水準軸不垂直於垂直軸之誤差 (C)視準軸不垂直於橫軸之誤差 (D)儀器下陷之誤差 。
26. 零度在天頂方向之全周式垂直度盤,正鏡時所讀之角度為 (A)垂直角 (B)天頂距 (C)360°減天頂距 (D)180°減天頂距 。
27. 設一名義長 30m 之鋼尺,當溫度在 14.3°C 時,真長與名義長相等,當量距時之平均溫度為 26.7°C,量得一測線之距離為 358.297m,熱膨脹係數為 0.0000116,則經溫度改正後之距離為 (A)358.245m (B)358.348m(C)358.358m (D)358.402m 。
28. AB、BC、CA 間距離各為 5km、2km、3km,今作水準測量,A 點高程為 52.460m,由 A 測至 B、C、A,直接算得 B、C、A 高程分別為85.258m、61.376m、52.470m,平差後,B 點高程應為 (A)85.263m (B)85.253m (C)85.260m (D)85.256m 。
29. AB、BC、CA 間距離各為 1km、2km、3km,今作水準測量,A 點高程為 52.460m,由 A 測至 B、C、A,直接算得 B、C、A 高程分別為85.258m、61.376m、52.472m,平差後,B 點高程應為 (A)85.254m (B)85.256m (C)85.260m (D)85.262m 。
30. AB、BC、CA 間距離各為 1km、2km、3km,今作水準測量,A 點高程為 52.460m,由 A 測至 B、C、A,直接算得 B、C、A 高程分別為85.258m、61.376m、52.472m,平差後,C 點高程應為 (A)61.368m (B)61.370m (C)61.372m (D)61.374m 。
31. 使用 0°在天頂方向之經緯儀,觀測天頂距正鏡測得 84°20'24",倒鏡測得 275°39'24",則天頂距應為 (A)84°20'54" (B)84°20'40" (C)84°20'30" (D)84°20'24" 。
32. 使用 0°在天頂方向之經緯儀,觀測天頂距正鏡測得 84°20'24",倒鏡測得 275°39'24",則指標差應為 (A)-4" (B)-6" (C)-8" (D)-10" 。
33. 普通水準測量若有閉合差,其高程差之改正數與下列何者成正比? (A)距離平方之倒數 (B)距離 (C)距離之倒數 (D)距離平方 。
34. 今以一支名義長 30m 鋼卷尺量得兩點間距為 584.720m,但後來發現此鋼卷尺實際長為 30.004m,則此兩點間距實際長度為 (A)583.940m (B)585.500m (C)584.642m (D)584.798m 。
35. 某尺在溫度改變前,名義長=實長,若溫度升高使測距尺增長,則所量測長度 (A)變長,改正數為負 (B)變長,改正數為正 (C)變短,改正數為負(D)變短,改正數為正 。
36. 已知 A 點高程為 300.18m,今在 B 點觀測 A 點覘標之垂直角為仰角 5°58'01",AB 兩點之水平距離為 750.123m,儀器高為 1.51m,覘標高為11.17m,求 B 點之高程為 (A)238.60m (B)240.20m (C)231.40m (D)225.70m 。
37. 以水準儀觀測 A、B、C 三點,得讀數分別為 0.86m、1.52m、2.79m,則下列何者正確? (A)C 比 B 低 1.27m (B)B 比 A 高 0.66m (C)C 比 A 低0.66m (D)B 比 A 低 1.93m 。
38. 在 15%斜坡上量距,得 240.60m,其水平距離應為 (A)237.84m (B)237.94m (C)238.04m (D)238.14m 。
39. 電子測距儀之加常數改正,係改正 (A)頻率誤差 (B)溫度誤差 (C)零點誤差(D)氣壓誤差 。
40. 下列水準器之靈敏度值中,何者靈敏度最高? (A)1'/2mm (B)30"/2mm (C)20"/2mm (D)10"/2mm 。
41. 若測線傾斜為 10%而視為水平時,50m 之誤差將為 (A)0.188m (B)0.208m(C)0.228m (D)0.248m 。
42. 於水準面上任一點作一切面,則在此面上距該點 2km 遠處離水準面約有_________之高差。 (A)10cm (B)20cm (C)30cm (D)40cm
43. 水準器之曲率半徑為 41m,則其靈敏度為 (A)10"/2mm (B)20"/2mm (C)30"/2mm (D)40"/2mm 。
44. 在上下坡路段實施水準測量時,在水準尺上的讀數最小值為 (A)5cm (B)3dm (C)3m (D)5m 。
45. 在上下坡路段實施水準測量時,在水準尺上的讀數最大值為 (A)無限制(B)1m (C)3m (D)5m 。
46. 在斜坡設置儀器時,儀器之三腳架應 (A)一支腳在下坡,另二支腳在上坡 (B)一支腳在上坡,另二支腳在下坡 (C)三支腳分居上中下 (D)三腳併攏 。
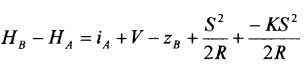
47. 三角高程測量公式
,公式中 K 為大氣折光係數,R為地球曲率半徑,而
稱為 (A)地球曲率改正 (B)大氣折光改正 (C)地球曲率及大氣折光改正 (D)氣壓高程改正 。
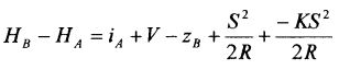
48. 三角高程測量公式
,公式中 K 為大氣折光係數,R為地球曲率半徑,而
稱為 (A)地球曲率改正 (B)大氣折光改正 (C)地球曲率及大氣折光改正 (D)氣壓高程改正 。
49. 長距離三角高程測量時,最好採用 (A)同時對向觀測取平均 (B)對向觀測取平均 (C)單向觀測 (D)重複單向觀測取平均 。
50. 大氣折光差與地球曲率差改正中,大氣折光差約為地球曲率差之幾倍?(A)1/3 (B)1/7 (C)3 倍 (D)7 倍 。
申論題 (0)
相關試卷
114年 - 04202 測量─工程測量 乙級 工作項目 06:儀器檢校 1-57(2025/10/28 更新)#132667
114年 · #132667
114年 - 04202 測量─工程測量 乙級 工作項目 05:應用測量 101-143(2025/10/28 更新)#132666
114年 · #132666
114年 - 04202 測量─工程測量 乙級 工作項目 05:應用測量 51-100(2025/10/28 更新)#132665
114年 · #132665
114年 - 04202 測量─工程測量 乙級 工作項目 05:應用測量 1-50(2025/10/28 更新)#132664
114年 · #132664
114年 - 04202 測量─工程測量 乙級 工作項目 04:地形測量 51-101(2025/10/28 更新)#132663
114年 · #132663
114年 - 04202 測量─工程測量 乙級 工作項目 04:地形測量 1-50(2025/10/28 更新)#132662
114年 · #132662
114年 - 04202 測量─工程測量 乙級 工作項目 03:控制測量 151-202(2025/10/28 更新)#132661
114年 · #132661
114年 - 04202 測量─工程測量 乙級 工作項目 03:控制測量 101-150(2025/10/28 更新)#132660
114年 · #132660
114年 - 04202 測量─工程測量 乙級 工作項目 03:控制測量 51-100(2025/10/28 更新)#132659
114年 · #132659
114年 - 04202 測量─工程測量 乙級 工作項目 03:控制測量 1-50(2025/10/28 更新)#132658
114年 · #132658