所屬科目:統測◆03電機與電子群電機類◆(二)電工機械、電工機械實習(111以後)
1. 如圖(一)所示之磁滯迴線,其中B 為磁通密度,H 為磁場強度,下列敘述何者正確?(A) ob 線段為磁化力、oc 線段為矯頑磁力 (B) ob 線段為剩磁、oc 線段為磁阻(C) ob 線段為剩磁、oc 線段為矯頑磁力 (D) ob 線段為磁化力、oc 線段為剩磁
2. 關於電工機械之能量轉換,下列敘述何者錯誤?(A) 發電機可將機械能轉換為電能 (B) 感應電動機可將電能轉換為機械能(C) 變壓器可將電能轉換為電能 (D) 同步電動機可將機械能直接轉換為光能
3. 一部6極直流發電機,每極磁通量為5 × 105線,電樞繞組之總導體數為400根,並聯路徑數為4,若電樞旋轉角速度ω為314弳/秒時,則其感應電勢約為何?(A) 150V (B) 158V (C) 168V (D) 178V
4. 一部直流發電機滿載時之輸出端電壓為200 V,若無載時之輸出端電壓為206.2V,則電壓調整率約為何? (A) 3.1% (B) 4.3% (C) 5.5% (D) 6%
5. 關於直流發電機的構造與運轉特性,下列敘述何者正確?(A) 外激式不需要額外的激磁電源 (B) 串激式無載時,無法建立滿載電壓(C) 分激式需要額外的激磁電源 (D) 差複激式負載增加時,端電壓降幅最小
6. 兩部分激式直流發電機 G1、G2,其額定電壓皆為 200 V、無載電壓皆為 230 V,G1 之額定功率及電流分別為 100 kW、500 A,G2之額定功率及電流分別為 200 kW、1000 A,若兩機之外部特性曲線關係皆為線性。當兩機並聯運轉時,其匯流排電壓為 215 V 且不計兩機之電樞反應、電刷壓降與分激場電流,則 G1分擔的電流約為何? (A) 150 A (B) 200 A (C) 250 A (D) 300 A
7. 一部直流發電機運轉於磁通密度保持不變,當轉速 300 rpm 時測得鐵心損失為 200 W,若轉速調升至900rpm時測得鐵心損失為900W,則轉速為300rpm時磁滯損失(Ph )與渦流損失(Pe )各約為何? (A) Ph=150W、Pe=50W (B) Ph=155W、Pe=45W (C) Ph=145W、Pe=55W (D) Ph=50W、Pe=150W
8. 一部串激式直流電動機,其額定電壓為 260 V、電樞電阻與串激場電阻皆為 0.5 Ω。在額定電壓下,已知電樞電流為 10 A,測得轉速為 2500 rpm,若電樞電流調至 20 A,不計電刷壓降與電樞反應,且磁路未飽和,則該電動機之轉速約為何? (A) 1350 rpm (B) 1300 rpm (C) 1250 rpm (D) 1200 rpm
9. 關於分激式直流電動機採用場磁通控制法改變轉速之電路接法,若下列選項中 VR 為可變電阻器,則何者接線正確? (A)(B)(C)(D)
10. 關於一部電樞電阻為定值之外激式直流電動機的轉速特性曲線,下列敘述何者正確?(A) 在額定端電壓和電樞電流下,描述旋轉速度和反電勢之關係(B) 在額定電樞電流和場電流下,描述旋轉速度和輸出轉矩之關係(C) 在額定端電壓和場電流下,描述旋轉速度和電樞電流之關係(D) 在額定端電壓和電樞電流下,描述旋轉速度和場電流之關係
11. 變壓比皆為 3000 V / 200 V 的 A、B 兩部單相變壓器,A 變壓器的額定容量為 50 kVA、阻抗壓降百分比為 5 %,B 變壓器的額定容量為 100 kVA、阻抗壓降百分比為 5 %,將兩部變壓器並聯供電給 75 kVA 的負載,且兩部變壓器的阻抗角相等,則 A 變壓器所分擔的負載為何? (A) 25 kVA (B) 35 kVA (C) 45 kVA (D) 55 kVA
12. 一部額定為 5 kVA、500 V / 100 V 的理想單相變壓器,若高壓側外加 60 Hz、500 V 交流電,低壓側提供額定電流給負載,則將此負載阻抗換算至高壓側時,其等效阻抗為何? (A) 45Ω (B) 50Ω (C) 55Ω (D) 60Ω
13. 一部額定容量為20 kVA、60Hz單相變壓器,高壓側額定電壓為1000V,低壓側額定電壓為500 V,換算至低壓側的等效電阻為 0.3 Ω、等效電抗為 0.4 Ω,若高壓側外加額定電壓,低壓側接上功率因數為0.6滯後的額定負載,則電壓調整率約為何? (A) 1.5% (B) 2.2% (C) 3.1% (D) 4.0%
14. 一部額定為20kVA、60Hz、3450V-3300V-3150V-3000V-2850V/110V之桿上變壓器,高壓側電源接至分接頭2850V時,測得低壓側電壓為120V,當高壓側分接頭接至3450V 時,則低壓側之電壓約為何? (A) 93V (B) 96V (C) 99V (D) 104V
15. 若改接成升壓自耦變壓器時,則此變壓器最小輸出容量、最大輸出容量分別為何?(A) 10 kVA、20kVA (B) 10 kVA、25kVA(C) 15 kVA、25kVA (D) 15 kVA、30 kVA
16. 若改接成440V/ 660V之升壓自耦變壓器時,則感應容量、傳導容量分別為何?(A) 5 kVA、10kVA (B) 10 kVA、5kVA(C) 10 kVA、20kVA (D) 30 kVA、20 kVA
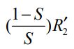
17. 圖 ( 二 ) 為三相感應電動機轉換至定子側之每相等效電路圖,其中 S 為轉差率。圖中哪個元件表示產生機械功率? (A) bm(B) go (C) R2 ′ (D)
18. 關於三相感應電動機之轉矩(T)與轉差率( S)特性,下列敘述何者正確?(A) 當2>S>1時,T<0 (B) 當1>S>0時,T<0(C) 當S=0時,T=0 (D) 當S<0時,T>0
19. 關於利用變頻器(inverter)來控制三相感應電動機,下列敘述何者錯誤?(A) 變頻器無法控制三相鼠籠式感應電動機轉速(B) 變頻器可轉換供應的電源為頻率可變的交流電至三相感應電動機(C) 使用變頻器做速率控制,為目前業界三相感應電動機轉速控制之主流(D) 變頻器可以控制三相繞線式感應電動機轉速
20. 在不同的轉差率( S)時,下列敘述何者正確?(A) 當S趨近於0.9時,nr趨近於1800rpm (B) 當S趨近於0.0時,nr趨近於1800rpm(C) 當S趨近於0.9時,ns趨近於180rpm (D) 當S趨近於0.0時,nr趨近於180rpm
21. 感應電動機在額定負載(滿載)時,定子輸入功率與ns各為何?(A) 10 kW、1710rpm (B) 10 kW、1800rpm(C) 9 kW、1800rpm (D) 9 kW、1710 rpm
22. 下列何者屬於單相感應式電動機?(A) 磁阻式電動機 (B) 直流無刷電動機(C) 步進電動機 (D) 分相式電動機
23. 圖(三)為定子具有互隔90o電機角之主繞組(M-M')與輔助繞組(A-A')之單相感應電動機,及所接之互隔 90°電機角之二相電流 i M與 i A 波形。 i M 與 i A 為正時,二繞組之電流方向如圖(三)(a)所示,在時間經由t0~t8時序,則下列關於定子繞組所產生的合成磁場之敘述何者正確?
(A) 產生順時針轉向的合成旋轉磁場 (B) 產生逆時針轉向的合成脈動交變磁場 (C) 產生逆時針轉向的合成旋轉磁場 (D) 產生順時針轉向的合成脈動交變磁場
24. 關於電容式單相感應電動機,下列敘述何者正確?(A) 電容器與主繞組串聯以改善起動轉矩或運轉效率(B) 雙值電容式適用於需高起動轉矩及良好運轉特性場合(C) 永久電容分相式可利用電容切換法來控制轉速高低(D) 電容起動式具有低起動轉矩
25. 一部60Hz之Y接三相同步發電機,每極最大磁通量 ϕm為0.01韋伯(Wb ),每相匝數N 為200匝,若感應電勢為正弦波,則在無載運轉時,其相電壓有效值約為何?(A) 444V (B) 533V (C) (D)
26. 一部 Y 接之三相同步發電機,若無載時每相電壓為 220 V,而滿載時每相電壓為 250 V, 則其電壓調整率約為何? (A) – 12% (B) 12% (C) (D)
27. 三相同步發電機在並聯運用前,感應電勢應具備之條件,下列敘述何者正確?(A) 頻率及電壓要相等,且相序、相位及波形要相同(B) 相序及相位可以不同(C) 相序及波形可以不同(D) 相序、波形及頻率可以不同
28. 一部三相同步電動機之銘牌規格如圖(四)所示,其極數為何? (A) 2 (B) 4 (C) 6 (D) 8
29. 在上述運轉條件下,輸出轉矩約為何?(A) 100N-m (B) 210N-m (C) 380N-m (D) 500N-m
30. 當轉矩角 δ 增加為45 °時,表示所帶動機械負載之變化為何?(A) 增加 (B) 減少 (C) 不變 (D) 變為零
31. 一部三相、轉子 24 齒之可變磁阻型步進電動機,採 1 相激磁方式,若所驅動負載須作同一轉向75°角位移之位置控制,則輸入至該步進電動機之控制激磁脈波數為何?(A) 10 (B) 15 (C) 20 (D) 25
32. 關於直流伺服電動機與交流伺服電動機之構造與特性,下列敘述何者正確?(A) 二者在結構上皆有電刷和換向片 (B) 二者皆要求轉子慣性大(C) 二者之驅動系統通常採閉迴路控制 (D) 二者皆以改變電樞電阻來控制轉速
33. 圖(五)為二相直流無刷電動機驅動電路,圖中兩 HG 標示係為同一個霍爾(Hall)元件,W1、W2為定子繞組,Q1、Q2為功率電晶體。若HG感測到轉子N極磁通,產生X1為正、X2為負的霍爾電壓,則在此情況下,下列敘述何者正確? (A) Q1導通,轉子以逆時針方向旋轉 (B) Q2導通,轉子以順時針方向旋轉 (C) Q1導通,轉子以順時針方向旋轉 (D) Q2導通,轉子以逆時針方向旋轉
34. 關於火災種類,下列敘述何者正確?(A) 甲類(A類)火災即油類火災 (B) 乙類(B類)火災即電氣火災(C) 丙類(C類)火災即普通火災 (D) 丁類(D類)火災即金屬火災
35. 台灣電力公司火力電廠所使用將機械能轉為電能的設備,下列何者最合適?(A) 分激式直流發電機 (B) 交流同步發電機(C) 外激式直流發電機 (D) 複激式直流發電機
36. 一部分激式直流電動機,其額定功率、額定電壓及電樞電阻分別為10kW、250V、0.2Ω。若以額定電壓起動,忽略場電流及電刷壓降,且限制起動電流為額定電流之 2.5 倍,則 電樞電路應串聯之起動電阻值為何? (A) 0.5Ω (B) 1.2Ω (C) 1.8Ω (D) 2.3Ω
37. 一部電樞電阻為 5 Ω、場電阻為 125 Ω 之分激式直流發電機,於輸出額定電壓下外接負載,測得場電流為 2 A,負載功率為 750 W,若忽略電刷壓降與電樞反應,則發電機 之感應電勢為何? (A) 275V (B) 265V (C) 255V (D) 245V
38. 根據表(二)實驗數據,此電動機之效率約為何?(A) 83.3% (B) 78.3% (C) 68.3% (D) 63.5%
39. 根據表(二)實驗數據,若不計電樞反應、機械損失及雜散損失,此電動機之反電勢約為何?(A) 218.3V (B) 209.3V (C) 200.3V (D) 191.3V
40. 一部額定為 10kVA、200V/100V的單相變壓器,分別對變壓器做開路實驗與短路實驗,其測得數據如表(三)所示,則此變壓器供應半載且功率因數為0.8滯後負載時,其效率約為何? (A) 99.6% (B) 97.6% (C) 95.6% (D) 93.6%
41. 某用戶欲設計一單相變壓器,高壓側線圈匝數為 1320 匝,若高壓側加上 60 Hz、6600 V電壓時,欲得到低壓側電壓為 440V,則其低壓側線圈匝數為何?(A) 68匝 (B) 78匝 (C) 88匝 (D) 98匝
42. 三部匝數比皆為10:1的單相變壓器,採取Y(高壓側)–Δ(低壓側)連接,供應三相250V、30kW、功率因數為0.8滯後的負載,則高壓側的線電流為何?(A) 5.0A (B) 5.5A (C) 6.0A (D) 6.5A
43. 曉華對一部額定為 4 極、220 V、10 馬力、60 Hz 之三相感應電動機做無載實驗,在進行量測與計算後,下列敘述何者正確? (A) 可量測得感應電動機之轉速接近1198 rpm (B) 可計算出感應電動機之滿載轉差率 (C) 可計算出感應電動機之滿載銅損 (D) 可計算出感應電動機之轉差率接近0
44. 某大樓之進風機由一部額定為 4 極、220 V、10 kW、60 Hz 之三相感應電動機驅動,因電動機故障需更換新電動機。電源為R、S、T相,新電動機接線端標示為U、V、W相。 若如圖 ( 六 ) 所示將 U 接 R、V 接 S、W 接 T 後進風機為逆轉。欲使進風機正轉,則下列接線何者錯誤? (A)(B)(C) (D)
45. 關於三相感應電動機之負載實驗,下列敘述何者正確?(A) 半載時之功率因數小於滿載時之功率因數(B) 半載時之電源輸入電流大於滿載時之電源輸入電流(C) 半載時之輸出轉矩大於滿載時之輸出轉矩(D) 半載時之轉差率大於滿載時之轉差率
46. 一部額定電壓為400V之三相同步發電機,無載特性(開路)實驗時運轉於磁路未飽和下, 當激磁電流為 5 A,其開路線電壓為 380 V,若激磁電流調降至 4 A 時,則其開路線電壓 約為何? (A) 400V (B) 380V (C) 320V (D) 304V
47. 一部額定為4極、0.3 kW、220 V、787 mA、1800 rpm之∆接同步電動機的激磁特性( V 形曲線)實驗數據記錄如表(四)所示,若實驗時固定負載轉矩為0.5 N - m,且同步電動機的激磁電流由500mA逐漸減少,則下列敘述何者正確? (A) 電樞電流值先增而後減、功率因數值先減而後增 (B) 電樞電流值先減而後增、功率因數值先增而後減 (C) 電樞電流值及功率因數值皆為先增而後減 (D) 電樞電流值及功率因數值皆為先減而後增
48. 圖 ( 七 ) 為常用 3 接線端 ( TA、TB、 COM ) 之單相感應電動機( 1 ϕ IM ) 所構成之吸排風機控制線路,利用電容切換法搭配切換開關來做吸風、停止與排風控制,其中繞組 A 與 B 之線徑及匝數皆相同。若下列選項中粗黑線條為接線方式,則何者接線正確?(A)(B)(C)(D)
49. 關於直流無刷輪轂式電動機之轉子構造與特性,下列敘述何者正確?(A) 內轉子式轉速低,不需配備減速機構 (B) 外轉子式轉速高,需配備減速機構(C) 內轉子式適用於負載較重場合 (D) 外轉子式適用於負載較重場合
50. 一部線性感應電動機定子電樞繞組之磁極數為 24 極,測得其長度為 12 m、供給之電源頻率為60Hz、動子之移動速率為54m/s,則在此操作狀況下轉差率為何? (A) 0.1 (B) 0.3 (C) 0.5 (D) 0.7