所屬科目:教甄◆數學
26.已知某速食店販售的套餐內容為一片雞排和一杯可樂,且一份套餐的價錢比單點一片雞排再單點一杯可樂的總價錢便宜40元。阿俊打算到該速食店買兩份套餐,若他發現店內有單點一片雞排就再送一片雞排的促銷活動,且單點一片雞排再單點兩杯可樂的總價錢,比兩份套餐的總價錢便宜10元,則根據題意可得到下列哪一個結論?(A)一份套餐的價錢必為140元(B)一份套餐的價錢必為120元(C)單點一片雞排的價錢必為90元(D)單點一片雞排的價錢必為70元
27.某協會舉辦會長選舉,共有甲、乙、丙三位候選人,投票規則為每人從選票上的三位候選人中選出一人蓋一個贊成章,選出另外一人蓋一個反對章,符合上述規則的選票為有效票,不符合則為廢票。開票後統計有效票中各候選人得到的贊成章、反對章個數,以及廢票張數,結果如下表所示。根據投票規則與表中資訊,求x-y之值為何?
(A)-40(B)-20(C)20(D)40
28.已知大發饅頭店每日準備500個饅頭販售,每個饅頭的原價為20元,且晚上關店時未售出的饅頭一律丟棄。為了減少未售出而丟棄的饅頭數量,晚上六點後到八點一律打8折,晚上八點後到關店前一律打5折。已知某日的晚上六點時店裡剩下50個饅頭,晚上八點時剩下x個,關店時剩下y個。若隔日所有饅頭在晚上六點前即售完,則這兩日大發饅頭店販售饅頭的收入相差多少元?(A)200-10x(B)200+6x+10y(C)200+6x+26y(D)200+10x+20y
29.下列何者為二元一次方程式x-2y=10的解?(A)x=4,y=-7(B)x=4,y=-3(C)x=4,y=5(D)x=4,y=7
30.若大軍買了數支10元及15元的原子筆,共花費90元,則這兩種原子筆的數量可能相差幾支?(A)2(B)3(C)4(D)5
31.張老闆以每顆a元的單價買進水蜜桃100顆。現以每顆比單價多兩成的價格賣出70顆後,再以每顆比單價低b元的價格將剩下的30顆賣出。求全部水蜜桃共賣多少元?(用a、b表示)(A)70a+30(a-b)(B)70×(1+20%)×a+30b(C)100×(1+20%)×a-30(a-b)(D)70×(1+20%)×a+30(a-b)
32小方拿了一張長80公分,寬50公分的紙張,剛好剪出n個正方形(其面積大小可以不相同)。請問n的最小值是多少?(A)3(B)5(C)10(D)40
33.如圖,△OAB中,∠AOB>90°,∠B>∠A。若M、H在上,M為的中點,,則下列哪一線段的長為O點與的距離?
(A)(B)(C)(D)
34.若下列有一圖形為線對稱圖形,則此圖應為何者?
35.判斷下圖中正六邊形ABCDEF與正三角形FCG的面積比為何?
(A)2:1(B)4:3(C)3:1(D)3:2
36.有甲、乙兩個箱子,其中甲箱內有98顆球,分別標記號碼1~98,且號碼為不重複的整數,乙箱內沒有球。已知小育從甲箱內拿出49顆球放入乙箱後,乙箱內球的號碼的中位數為40。若此時甲箱內有a顆球的號碼小於40,有b顆球的號碼大於40,則關於a、b之值,下列何者正確?(A)a=16(B)a=24(C)b=24(D)b=34
37.某高中的籃球隊成員中,一、二年級的成員共有8人,三年級的成員有3人。一、二年級的成員身高(單位:公分)如下:172、172、174、174、176、176、178、178若隊中所有成員的平均身高為178公分,則隊中三年級成員的平均身高為幾公分?(A)178(B)181(C)183(D)186
38.某一組資料有八個正整數,已知其中七個數為1,6,3,5,2,2,6。下列哪一個數不可能是這一組資料的中位數?(A)3(B)3.5(C)4(D)4.5
39.已知星星大學有甲、乙兩個圖書館,其藏書的數量比為4:3。若星星大學分別替甲和乙添購相同數量的新書,添購後甲和乙藏書的數量比變為11:9,則這兩個圖書館所添購的新書數量總和,與其原有藏書數量總和的比值為多少?(A)(B)(C)(D)
40.若x:y=2:1,且2x+y=20,則(x-1):(y+1)之比值為何?(A)(B)2(C)(D)
41.一元二次方程式x2-8x=48可表示成(x-a)2=48+b的形式,其中a、b為整數。求a+b之值為何?(A)20(B)12(C)-12(D)-20
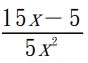
42.計算多項式10x3+7x2+15x-5除以5x2後,得餘式為何?(A)(B)2x2+15x-5(C)3x-1(D)15x-5
43.若一正方形的面積為20平方公分,周長為x公分,則x的值介於下列哪兩個整數之間?(A)16,17(B)17,18(C)18,19(D)19,20
44.算式之值為何?(A)√2-√6(B)√2-1(C)2-√6(D)1
45.利用乘法公式判斷,下列算式之值,何者與其他 不相同 ?(A)(1062-42)×(1082-22)(B)(1072-32)×(1072-12)(C)(1082-22)×(1062-22)(D)(1092-12)×(1052-12)
46.下列選項中的數列,哪一個 不是 等差數列?(A)(B)(C)(D)
47.小明在一本有一千頁的書中,從第1頁開始,逐頁依順序在第1頁寫1,第2頁寫2、3,第3頁寫3、4、5,…,依此規則,即第n頁從n開始,寫n個連續正整數。求他第一次寫出數字1000是在第幾頁?(A)500(B)501(C)999(D)1000
48.將1927化成小數,則小數點後第122位數為何?(A)0(B)3(C)7(D)9
49.如圖,四邊形ABCD中,∠1、∠2、∠3分別為∠A、∠B、∠C的外角。判斷下列大小關係何者正確?
(A)∠1+∠3=∠ABC+∠D(B)∠1+∠3<∠ABC+∠D(C)∠1+∠2+∠3=360°(D)∠1+∠2+∠3>360°
50.已知小娟家的地板全由同一形狀且大小相同的地磚緊密地舖成。若此地磚的形狀是一正多邊形,則下列何者不可能是此地磚的形狀?(A)正三角形(B)正方形(C)正五邊形(D)正六邊形