所屬科目:教甄◆數學
51. 下圖正方形中灰色區域的面積是 228 cm2(π = 3.14),試問正方形的周長是幾公分?(A) 100 (B) 120 (C) 80 (D) 60
52. 朱老師正在準備三年級初次認識「一位小數」的教學。下列四個活動中,哪些情境適合用來建立「0.1」的啟蒙概念?甲:計算 1÷10=0.1 乙:在數線上標示 0.1丙:也可以說是 0.1丁:一包糖果有 10 顆,1 顆糖果是 0.1 包(A) 只有甲 (B) 只有丙、丁 (C) 只有甲、乙、丁 (D) 只有乙、丙、丁
53. 下列是國小學童對於「比值」的描述,請問何者不正確?(A) 「比值」等於前項除以後項(B) 「比值」可以視為前項是後項的幾倍(C) 「比值」代表後項為基準量時,前項的結果(D) 「比值」無法用來表示不同類量之間的比例關係
54. 下列哪一個情境設定最適合做為除法的啟蒙問題?(A) 離散量等分除情境 (B) 離散量包含除情境(C) 連續量等分除情境 (D) 連續量包含除情境
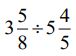
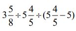
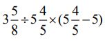
55. 有一個數學問題:「公升的果汁,相當於裝成瓶,沒有裝滿的那一瓶是多少公升?」下面哪一個算式能算出正確的答案?(A)(B)(C)(D)
56. 下列選項中,哪一個四則計算規律不在《十二年國民基本教育課程綱要-數學領域》中,學習內容 R-5-2 四則計算規律(II)的範圍內? (A) a ÷ b ÷ c = a ÷ (b × c) (B) a ÷ (b ÷ c) = a ÷ b × c (C) a ÷ b ÷ c = a ÷ c ÷b (D) a × (b + c) = a × b + a × c
57. 某水果店推出三種不同包裝的水果禮盒,每盒內含不同數量的蘋果和水梨,下表是各禮盒與內裝的水果數量。已知王老闆購買了 20 盒不同包裝的水果禮盒,共包含了 124 個蘋果及 68 個水梨。試求他購買的「豪華禮盒」的數量。(A) 5 (B) 6 (C) 7 (D) 8
58.x 值為多少,f(x)沒有定義?(A) 10 (B) 0 (C) 7 (D) 沒有任何值
59. 若 f(x)為線性函數,f(−1)= −3,f(3)=12,則 f(0)=?(A)(B)(C)(D)
60. 計算 45 × 33 × 1253 的結果為幾位數?(A) 9 (B) 10 (C) 11 (D) 12