所屬科目:教甄◆化學專業/化工科
1. 兩個體積不等之燒瓶(體積比 V1:V2=3:4)用細管相連接(細管體積可忽略), 最初在 27 ℃下置入 0.70 莫耳 H2(g),系統壓力為 0.50 atm。今 V1 改置入 227 ℃沸油 中,V2 仍然維持在 27 ℃,達平衡時,求 V2 內氣體壓力為若干 atm?
(A) 0.36 (B) 0.45 (C) 0.50 (D) 0.56 (E) 0.60
2. 已知 Na(s) 昇華熱為 93 kJ / mol;Na(g)游離能為 496 kJ / mol;Cl2(g) 解離能為 151 kJ / mol;Cl(g) 電子親和力為 − 295 kJ / mol;NaCl(s) 生成熱為 − 259kJ / mol,則 NaCl(s) 之晶格能為多少 kJ / mol? (A) − 628.5 (B)-704 (C) − 776 (D) − 851.5 (E) − 963
3. 試將下列化合物之號碼,依沸點之順序排成一橫列為:①反-1,2-二氯乙烯 ②順-丁烯二酸 ③反-丁烯二酸 ④順-1,2-二氯乙烯。 (A) ① > ② > ③ >④(B) ③ > ② > ① >④ (C) ②> ③ > ①> ④ (D) ③ > ② > ④>① (E) ② > ③ >④ >①
4. 下列的分子或離子中,哪些選項中心原子的混成軌域形狀相同?(複選)(A) SOF4 (B) XeO2F2 (C) BrF3 (D) SeOF2 (E) PtCl42-
5. 一圓筒附活塞,內盛有 He 及液態水,於 t℃時筒內總壓為 112mmHg,此時筒內水蒸氣為 22mmHg,水蒸氣重 150mg,今於同一溫度下移動活塞後,He 之分壓 30mmHg,且筒內水恰完全蒸乾,則原圓筒內液態水之重為? (A) 300 (B) 450 (C) 600 (D) 750 (E) 900 mg
6. 有關游離能大小比較何項錯誤? (A) Na+ > Ne > F – (B) Ga3+>Ca2+> K+ (C) O+ > F + > N+ (D) He > H> Be > Li (E)F– >Cl–> Br– > I –
7. 三個形狀相同之容器底部以只許水分子通過的半透膜部分相通。今在容器 a 內加入 2.0 升 0.10 M 的 NaCl水溶液,容器 b 內加入 1.0 升 0.20 M 的 BaCl2 水溶液,容器 c 內加入 1.1 升 0.30 M 的葡萄糖水溶液。若原先加入時,各容器之液面高低如右圖所示,試問達平衡時,各溶液之滲透壓值大小關係為何? (A) b>a>c (B) c>b>a (C) a>b>c (D) a>c>b (E) a = b = c
8. 氫原子光譜中位於可見光區(400nm~700nm)最短波長的光譜線,是其電子從何能階轉移至哪一階改變能量狀態所產生?(A)由 n=∞ 至 n=1 (B)由 n=3 至 n=2 (C)由 n=6 至 n=2 (D)由 n=∞ 至 n=2 (E)由 n=5 至 n=2
9. 有一反應之反應過程(機構)位能變化圖如右圖所示,下面選項有關此反應敘述何者有誤?(複選)(A)總反應式為 2A → M(B)此反應的活化能為 30 kJ/mol(C)反應中間產物為 B、C、D、E(D)此反應的級數為二級(E)反應熱為-8 kJ/mol
10. 25 ℃及 1 大氣壓下,量測一可逆反應 X → 2Y + Z 的反應速率。反應進行中所量測到的反應物 X 的濃度與時間的關係如右圖所示。則下列哪一數值是此反應的反應級數? (A) 0 (B) 1 (C) 2 (D) 3 (E) 4
11. 某地大氣壓為 1020gw/cm2,於一端封閉粗細均勻內截面積為 2 cm2 的細長玻璃管中,封入長 15cm 汞柱,並保持水平,被封入的空氣柱長 24cm,則下列的操作結果,哪些正確?(複選) (假設所有操作玻璃管內的水銀都沒有損失) (A)若將此玻璃管以管口朝下倒立時,空氣柱的長為 25cm (B)若將此玻璃管以管口朝上正立時,空氣柱的長約為 20cm (C)若將此玻璃管以管口朝上正立時再使原本的汞再增加 10cm3,空氣柱的長約為 10cm (D)若將此玻璃管依俯角 30 度以管口朝下倒立時空氣柱的長約為 26.7cm (E)若將此玻璃管依俯角 30 度以管口朝下倒立時再移除 15cm3 的汞,空氣柱的長約為 30cm
12. 現有一含葡萄糖和氯化鈉的混合物 207g 溶於 2kg 水中,且此水溶液的正常沸點為 101.17℃。下列有關此水溶液與 原混合物的敘述,哪些正確?(複選)(水的 Kb=0.52℃/m) (A)原混合物中葡萄糖的重量百分率為 41% (B)溶液的有效重量莫耳濃度為 4.5m (C)原混合物中氯化鈉的莫耳分率為 0.8 (D)此溶液達 101.17℃時,其蒸氣壓約為 756.6 mmHg (E)若要在 37℃時將此溶液配成等滲透壓溶液(約 7.7atm),需要減少約 113 克的氯化鈉(假設配製過程中溶液密度均 為 1 g/cm3 )
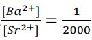
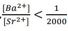
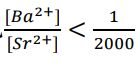
13. 已知 BaSO4、SrSO4 之 Ksp 值依次為 1.1×10-10、2.2×10-7,若於 Ba2+與 Sr2+的混合液中逐滴加入 Na2SO4(aq)使其產 生沉澱,下列哪些正確?(複選) (A)不論原來兩陽離子之濃度比為何,必先產生 BaSO4 沉澱 (B)若兩陽離子之濃度比時,則先產生 BaSO4沉澱 (C)若兩陽離子之濃度比時,則先產生 BaSO4沉澱 (D)若兩陽離子之濃度比時,則兩者同時沉澱 (E)若兩陽離子之濃度比時,則兩者均不可能產生沉澱。
14. 取 0.1 莫耳某單質子弱酸 HA(Ka=1×10-5),配成 1 升溶液,在 25℃下哪些選項是正確的敘述?(複選) (log7=0.85) (A)溶液中的 pH 值約等於 2.5 (B)取 20 毫升 HA 溶液,以 0.1M NaOH(aq)滴定,當加入 10 毫升時,溶液的 pH 值約等於 5 (C)取 20 毫升的 HA 溶液,以 0.1M NaOH(aq)滴定,達當量點之前 1 毫升時,溶液中的[H+ ]約為 2.5×10-4M (D)達當量點時,選用酚酞作為指示劑,溶液呈深紅色 (E)取 20 毫升的 HA 溶液,加入 0.1M NaOH(aq)溶液 20 毫升後,溶液中的[OH- ]約為 7×10-6M
(1) 有關水素杯製造「水素水」的概念,下列哪個選項比較合理?(3 分) (A)不能用 RO 水的原因可能是不含任何離子,所以無法電解水 (B)陽極的產物可能有氧氣與臭氧 (C)使用自來水可能會在陰極產生氯氣 (D)物理吸附層在此裝置的目的可能是吸附氫氣,進而讓水中的氫氣濃度增加 (E)假設水素杯盛滿 500mL 的水且水中氫氣為 0ppm,在 25℃下電解若要達到氫氣飽和濃度 1.6ppm,至少需電解 1 分鐘
1. 在大氣層中,二氧化氮是氮的多種氧化物之ㄧ種。它會進行雙聚合,形成 N2O4。N2O4(g)分解以形成 NO2(g)的反應是一級反應,其速率常數在 298K 時是 5.3×104 s -1。需要多少秒才能使 20%之 N2O4(g)分解(有效數字四位)? 【 】s
2. 已知氯化銀的 Ksp=1.8×10-10,鉻酸銀的 Ksp=1.0×10-13, 今在一含有 0.1 M Cl-及 0.1 M CrO42-的水溶液中,逐滴加入 AgNO3 水溶液,若可忽略加入液體的體積,則當第二種沉澱恰好產生時,氯離子濃度為何? 【 】
3. 取含有 Fe2O3 雜質的金塊樣品 3.2 克,以適量鹽酸使雜質恰完全作用,釋出的 Fe3+再以鐵還原成Fe2+,該溶液中無Fe3+殘留。用去離子水將該溶液稀釋至 100 毫升,取該稀釋液 10 毫升,在標準狀況下通入氯氣 13.44 毫升可將Fe2+ 完全氧化,即該溶液中無Fe2+殘留。試問金塊樣品中所含 Fe2O3 的重量百分比為多少 (%)?【 】( Fe2O3莫耳質量為 160 g/mol)
4. 25℃時,稀薄葡萄糖水溶液之蒸氣壓為 P,純水的蒸氣壓為 P°,已知水的莫耳沸點上升常數為 Kb,則此水溶液的沸點上升度數為何?【 】
5. 並聯 2 個電解槽,電解槽Ⅰ中有 0.2M AgNO3(aq) 1000 毫升,又在電解槽Ⅱ中盛有某金屬 M 之硫酸鹽溶液,各電極均使用鉑。在通電 2 小時後整個迴路中通過的電量共有 21170 庫侖,若此時在電解槽Ⅰ的陽極產生氣體,在 STP 下 完全收集得的體積為 560 毫升,則在電解槽Ⅱ中通過的電流為若干安培?【 】
6. 環境監測小組取某工廠廢水 50 毫升,加入足量的 K2Cr2O7 溶液與適量的鹼反應得到 BaCrO4 沉澱;沉澱經洗滌、 過濾後,以適量的稀鹽酸讓 BaCrO4 沉澱完全溶解。接著加入過量 KI 溶液,再加入數滴澱粉溶液則呈藍色,以 0.10 M Na2S2O3 標準溶液滴定,於反應完全而溶液褪為無色時,共消耗了 36.0 毫升。試問該廢水中 Ba2+的濃度 為多少 M?【 】
(1)化合物 C 的分子式是 C7H8O,C 遇 FeCl3 溶液顯紫色,C與溴水反應生成的一溴取代物只有兩種,則 C 的結構式為何? (3 分)
(2)D 為不含烷基支鏈之化合物,其分子量比化合物 C 少 20,它能與 NaHCO3 反應放出 CO2,則 D 的分子式為何? (3 分)
(3)反應①的化學方程式為何? (3 分)
(4)芳香化合物 B 是與 A 具有相同官能基之 A 的同分異構物,經由反應②化合物 B 能生成 E 和 F,F 可能的結構式為何? (3 分)
(5)C 與 KMnO4(aq)酸性液的反應方程式為何? (3 分)
(1)試計算電池受光照射時,銀棒上的氯化銀會立即轉變成銀原子與氯原子之化學反應在標準狀態下的電壓為何? (3 分
(2)承第(1)題,已知普朗克常數為 6.63×10−34 J∙s,試問理論上照射此電池的光波長至少需要小於多少奈米才能發電? (答案取二位有效位數) (3 分)
(3)當電池受光照射時, 電池正極為銀棒還是鉑棒 ? (1 分)標準狀態的電壓為何 ? (2 分) 兩溶液顏色是否有變化? (2 分)
(4)若將光源移除,電池回復至初始氯化銀狀態的反應式及其標準狀態的電壓各為何?(4分)
(2) 門市銷售人員會利用 ORP(氧化還原電位)數值變小來告訴顧客這款「水素杯」產生的氫氣濃度很高。假設杯中裝滿 500mL 的水並存有 0.5ppm 的氫氣且為中性,25℃氫氣飽和濃度為 1.6ppm,在溫度不變情況下若此杯只會留下陰極的產物,以此杯電解 1 分鐘後測出 ORP 數值的確下降。請問導致 ORP 下降的主要原因是氫氣濃度變大嗎?請說明主要原因是什麼? (7 分) (請根據E = −來解釋)