所屬科目:教甄◆數學
51.如右圖。有一個 21 公分高封口的瓶子,裝了高 12 公分的水,將瓶子上下顛倒後,水的高度為 15 公分,請問這些水佔瓶子容量的多少? (A) (B) (C)(D)
52.小明原本的體能平均分數是 80 分,最後一項體能測驗得到98 分, 讓他的體能平均分數提高到 83 分,請問他總共做了幾項體能測驗? (A)5 (B) 6 (C) 7 (D) 8
53.學校要在禮堂側面的牆上掛上 18 幅美術比賽的優勝畫作,已知牆面寬 25.1 公尺,每幅畫寬 55 公分,如果牆邊到畫以及畫與畫之間都要有相同的間隔,請問間隔是幾公分? (A) 80 (B) 90 (C) 100 (D) 110
54.商店門口有 78 人排隊等待搶購特價品。小明前面排了 28 個人,小華後面排了 33 個人,請問他們兩人間隔了多少個人? (A) 14 (B) 15 (C) 16 (D) 17
55.小明用 8 支等長木棒以直角相接拚出一個線對稱圖形。下列(1)拿走 1、2;(2)拿走 1、3;(3)拿走2、4 等三種「拿走其中 2 支」的方法中,使剩下的圖形還是線對稱圖形的有方法幾種?(A) 0 (B) 1 (C) 2 (D) 3
56.男女生共 56 人參加某項競賽,初賽時淘汰了 1/3 的女生和 1/4 的男生,剩餘 40 人繼續比賽,請問競賽開始時男女生人數相差多少? (A) 4 (B) 6 (C) 8 (D) 12
57.媽媽發現有人吃了她最喜歡的甜甜圈。她懷疑是自己的三個孩子之一:大哥、二哥、小弟。孩子們發表以下聲明:小弟說:二哥吃了甜甜圈。大哥說:小弟沒有吃甜甜圈。二哥說:我吃了甜甜圈。如果只有一個說法是真的,那麼誰吃了甜甜圈?(A)大哥 (B) 二哥 (C) 小弟 (D) 三個孩子都吃了甜甜圈
58.設甲,則這四個數中何者最大?(A)甲 (B)乙 (C)丙 (D)丁
59.王老闆有 8 公升的果汁,每公升裝一瓶出售,儘量裝完,則分裝後還剩下多少公升? (A) (B) (C) (D)
60.右圖有 4 個半徑是 10 公分的圓,黑點分別為四個圓的圓心。此圖有部分被一個梯形遮住,問灰色部分的面積是多少平方公分?(圓周率以 3.14 計算) (A) 920 (B) 932 (C) 942 (D) 950
61.我們可以使用點和線來構造圖案,以下前三個圖是依照某種規律製作的圖案。圖 1 用了 5 個黑點、4 條線,圖 2 用了 8 個黑點、8 條 線。 設 圖12 有 a 個黑點,b 條線,則 a+b=?
(A) 50 (B) 68 (C) 86 (D) 89
62.在一條筆直的道路上,甲和乙騎腳踏車,兩人從同一地點出發,方向相反。15 分鐘後,兩人相距 12 公里。甲的平均速率為 20 公里/ 小時。問:乙的平均速率是多少? (A) 20 公里/小時 (B) 28 公里/小時 (C) 32 公里/小時 (D) 35 公里/小時
63.從 1 到 100,與 2 或 3 互質的整數一共有多少個?(A)67 (B)66 (C)34 (D)33
64.已知的整數部分為 10,且 a 為正整數,則滿足此條件的 a 有幾個? (A)21 (B)20 (C)10 (D)1
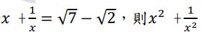
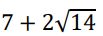
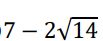
65.已知 =?(A) (B) (C)(D)
66.直角坐標平面上有一圓,其圓心為?(1, −4),已知圓上有一點P(6,8),請問此圓的直徑為何?(A)13 (B)17 (C)26 (D)34
67.有一張地圖,地圖上長度 2 公分的線段,實際長度為 2 公里。有關此地圖「比例尺」,下列何者正確?(A)1:10000(B)(C) ,其中 1 單位代表 1 公分(D) ,其中 1 格代表 1 公分。
68.有五個正整數,它們的平均數為 6,中位數為 8,且只有 9 是衆數。這五個數中的最大數與最小數可能的最大差距為何? (A)8 (B)7 (C)6 (D)5。
69.「想要把一張長方形紙卡全部剪成一樣大的正方形,每個正方形的邊長都是整數公分,可以有很多不同的剪法。如果剪出的正方形邊長最長是 18 公分,其他剪法剪出的正方形邊長可能是多少公分?」 這個布題最可能是下列哪個學習內容的教學內容? (A) S-4-3「正方形與長方形的面積與周長」 (B) N-5-3「公因數和公倍數」 (C) N-5-10「解題:比率與應用」 (D) N-6-1「20 以內的質數和質因數分解」。
70. 志軒正確計算「8 × 3 ÷ 4 = 8 × = 6」,但用同樣的方式計算「8 ÷ 4 × 3 = 8 ÷ 12 =」卻答案錯誤。請問他最可能在下列何者的運用 上發生問題? (A)乘除法的交換律 (B)乘除法的結合律 (C)乘除法的分配律 (D)「先乘除後加減」中的先乘再除。