所屬科目:教甄◆理化專業
41. 某化學反應(2AP )為二級反應,其反應速率表示式可寫為:
[A]為反應物的濃度,k為反應速率常數,t為時間。試問下列哪一個選項對?作圖會得到線性的關係圖? (A) [A]-1 (B) [A] (C) [A]2(D) ln [A]
42. 常溫下,在一密閉容器內通入等重量的氫氣與氦氣。則下列關於該容器中兩種氣體條件的敘述,何者最為合理? (A)兩氣體的體積相同 (B)兩氣體的壓力相同 (C)兩氣體的莫耳數相同 (D)兩氣體分子的平均速度相同
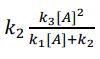
43. 單一分子反應(unimolecular reaction) 可以表示為A→P,其中A為反應物,P為產物。其相對應的反應機制可表示如下上面式子中A∗為A的激發態。利用恆穩態近似(steady state approximation),中間產物的濃度不隨時間變化而改變,即 試求出產物的生成速率為何?(A) k1[A]2 (B)(C)(D)
44. 有關分子極性大小的關係,下列選項何者正確?(A) CF2H2 > CCl2H2 > CF2Cl2 > CH4(B) CCl2H2 > CF2H2 > CF2Cl2 > CH4(C) CF2Cl2 > CCl2H2 > CF2H2 > CH4(D) CF2Cl2 > CF2H2 > CCl2H2 > CH4
45. 已知硝酸銀加入某錯合物的水溶液中會產生白色混濁的氯化銀沉澱。某生取0.100 克的此錯合物溶解於水中,並以0.050M的硝酸銀水溶液進行沉澱滴定。到達滴定終點時用去10.00毫升的硝酸銀水溶液。試問此0.100克的錯合物中含有多少克氯離子? (氯原子量=35.5) (A) 0.050克 (B) 0.025克 (C) 0.018克 (D) 0.015克
46. 酒精度(proof)的定義是溶液中乙醇溶液體積百分比的兩倍。例如,酒精度為190的溶液為體積百分比為95%的乙醇溶液。試問酒精度為92的溶液,其體積莫耳濃度為何? (乙醇分子量=46,密度=0.8克/毫升) (A) 0.46 M (B) 0.8 M (C) 0.92 M (D) 8.0 M
47. 有關各純物質沸點大小的敘述,下列選項何者正確?(A) Ar < CH4 < C2H5OH < NaNO3(B) Ar < CH4 < NaNO3 < C2H5OH(C) CH4 < Ar < C2H5OH < NaNO3(D) CH4 < Ar < NaNO3 < C2H5OH
48. 工業上一種製造碳氫化合物的重要方法之一是利用CO(g)與H2(g)的混合氣體,在適當的催化條件下進行費托合成反應(Fischer-Tropsch reaction),其化學反應式如下:某生取一莫耳的CO(g)與過量的H2(g)在300K、一大氣壓的條件下,進行費托合成反應。反應完成後,CO(g)完全用盡,並得到體積為8.2公升的碳氫化合物(CxHy),且整個反應共放出了150千焦的熱量。試問此碳氫化合物的莫耳生成熱為何? (莫耳生成熱:CO(g) = -100千焦/莫耳,H2O = -225千焦/莫耳)(A) -25千焦/莫耳 (B) -75千焦/莫耳 (C) 275千焦/莫耳 (D) 825千焦/莫耳
49. 在一化學反應的過程中,改變下列何種條件,會同時改變反應的平衡常數與反應速率常數? (A)反應物的濃度 (B)反應的溫度 (C)反應的壓力 (D)加入催化劑
50. 氨氣在高溫下會還原氧化銅,並伴隨著氮氣與水蒸氣的生成。某生在反應槽中通入2莫耳的氨氣,並置入1莫耳的氧化銅在高溫下進行反應。試問反應槽內最多會生成多少莫耳的水蒸氣? (A) 0.3莫耳 (B) 0.5莫耳 (C) 1.0莫耳 (D) 3.0莫耳
51. 某生欲測量分解反應N2O4(g) ↔ 2NO2(g)的平衡常數。該生在定溫300 K的條件下,於一個體積為24.6升的密閉容器中依序灌入3莫耳的N2O4(g)與3莫耳的NO2(g)。待反應平衡後,測得容器內的總壓力為5大氣壓。試問此分解反應的平衡常數K = 為何? (PN2O4與NO2分別為N2O4(g)與NO2(g)平衡時的壓力) (A) 1/4 (B) 1/3 (C) 2 (D) 4
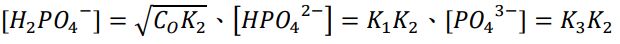
52. 磷酸為一個三質子酸,其三個解離常數K1、K2與K3分別為則關於濃度為C0的磷酸水溶液中(C0 >> K1),各離子的濃度,下列敘述何者正確?(A)(B)(C)(D)
53. 試問下列何種有機化合物可以與多倫試劑(Tollens reagent)進行銀鏡反應?(A) CH3COOH (B) CH3OCH3(C) CH3C(O)OCH3 (D) CH3CHO
54. 維生素C的分子式是C6H8O6,為一元酸。某維生素C片0.44克,以0.1M之NaOH進行酸鹼滴定,使用20mL之NaOH可達滴定終點,則該維生素C片中C6H8O6之重量百分濃度為多少? (A) 88% (B) 80% (C) 44% (D) 22%
55. 若在含有Cu²⁺的水溶液中,通入2A的電流,進行電解965秒,理論上可沉積多少莫耳的銅?(1F = 96500C/mol) (A) 0.001mol (B) 0.01mol (C) 0.02mol (D) 0.1mol
56. 某一原子基態的電子組態為 [Ar] 4s2 3d10 4p3,則此原子位於週期表上的哪一族? (A)第3族 (B)第5族 (C)第15族 (D)第17族
57. 已知某一瓦斯鋼瓶的安全耐壓為15atm。若於此鋼瓶中充入25℃、10atm的瓦斯,試問鋼瓶受熱溫度超過幾度時,就會因為超過安全耐壓而導致危險? (A) 10.5℃ (B) 37.5℃ (C) 174℃ (D) 447℃
58. 自來水公司將水中有效餘氯控制在濃度約為 5 × 10-5%左右,以確保其對人體是無害的。請問此濃度相當於多少ppm? (A) 0.05 (B) 0.5 (C) 5 (D) 50
59. 小柏以下列模型說明甲和乙兩物質可反應產生丙氣體,如下圖所示( ●與○表示不同的原子)。有關此模型的敘述,下列哪一選項最為合理? (A)模型無誤,反應式可記為:3甲 + 乙 → 2丙 (B)模型無誤,反應式可記為:6甲 + 2乙 → 2丙 (C)模型有誤,應增加一組丙分子,反應式應記為:3甲 + 乙 → 3丙 (D)模型有誤,應減少一組甲分子,反應式應記為:2甲 + 乙 → 2丙
60. 某人經12小時空腹後,因為胃液過酸(pH值為1.0)而感到不適。若欲飲用市售pH 9的鹼性離子水來中和胃酸,請問此人須飲用約多少體積的鹼性離子水,可以讓胃液的 pH值變為2.0?(成人正常空腹12小時的胃液殘餘量約為50 mL) (A) 400 mL (B) 450 mL (C) 500 mL (D) 550 mL
61.試問該小球抵達地面時的瞬間速度約為多少公里/小時?(A) 50 (B) 100 (C) 240 (D) 360
62. 承上題,若小明自由釋放小球的瞬間,小艾在地面以初速=100公尺/秒,上拋另一顆小球。若不計空氣阻力,試問兩球有機會在多久之後於半空中相撞?撞擊的位置, 距離地面多高? (A) 5秒,125公尺 (B) 10秒,125公尺 (C) 5秒,375公尺 (D) 10秒,375公尺
63. 請問以下物理量各有幾個「純量」及「向量」?位移、距離、動能、動量、質量、速度、角動量、速率、角速度、加速度、力、電場、電位(A) 4個「純量」,9個「向量」 (B) 5個「純量」,8個「向量」(C) 6個「純量」,7個「向量」 (D) 7個「純量」,6個「向量」
64. 試問此衛星的速度約為每秒多少公尺?(A) 8公尺/秒 (B) 80公尺/秒 (C) 800公尺/秒 (D) 8000公尺/秒
65. 承上題,該衛星已配備推進系統(總質量為100公斤),若想讓此衛星脫離地球引力範圍前往外太空,試問推進系統至少需要提供多少能量? (A) 3 ×109焦耳 (B) 3 ×108 焦耳 (C) 3 ×107 焦耳 (D) 3 ×106 焦耳
66. 以下關於光的特性及相關實驗:繞射、干涉、光電效應、色散、折射、黑體輻射、偏振、康普敦散射,試問有幾項是源自光的「粒子特性」? (A) 3項 (B) 4項 (C) 5項 (D) 6項
67. 現有3個電阻,其電阻值分別為1歐姆、2歐姆、3歐姆。試問「將此三個電阻串聯接上12伏特電池」後,以及「將此三個電阻並聯接上12伏特電池」後,流經電池的電流各是多少安培? (A)串聯:1安培;並聯:12安培 (B)串聯:2安培;並聯:12安培 (C)串聯:2安培;並聯:22安培 (D)串聯:12安培;並聯:22安培
68. 某一條延長線使用長度10公尺,且截面積為1公釐2的銅線。試問當通過此銅線的電流達10安培時,其發熱功率為多少瓦? (已知銅的電阻率約為2×10-8歐姆⋅公尺。) (A) 30瓦 (B) 20瓦 (C) 10瓦 (D) 5瓦
69. 有A、B兩個點電荷分別帶電+Q及+4Q,以9公尺的距離分開放置,且固定不動。若在A、B連線上想找到一個位置放入帶電-Q的點電荷C,使C可達淨力平衡狀態,且僅考慮庫倫靜電力時,試問C的位置應距離A多遠? (A) 3公尺 (B) 4公尺 (C) 5公尺 (D) 6公尺
70. 已知某金屬的功函數為2 eV,若將能量為3 eV的藍光照射此金屬表面,試問可激發出最高動能的電子速度為多少? (電子質量約為 9×10-31 公斤) (A) 6✖103公尺/秒 (B) 6✖104公尺/秒 (C) 6✖105公尺/秒 (D) 6✖106公尺/秒
71. 將1mol理想氣體從初始壓力2 atm、體積10L,等溫壓縮至體積為5L時,所作的功約為多少焦耳?(ln2≈0.693,R=8.31) (A) -2024J (B) -1400J (C) -610J (D) -113J
72. 若地球半徑為R,某一火箭之重量為其在海平面上重量的一半時,則此火箭距地面的高度h為何? (A) R (B)2R (C)(D)
73. 一重量為P的物體,夾在木板和木板壁之間,如右圖所示。在木 板上用水平力F緊壓木板,如果物體和木板及木板壁間的靜摩擦係數都等於0.25,欲使物體不致下滑,則施力F至少應大於多 少? (A) (B)(C) 2P (D) 4P
74. 在紙面上兩條垂直的載流長直導線,其電流均為i,方向如下圖所示。圖中四個象限分別為Ⅰ、Ⅱ、Ⅲ、Ⅳ,則下列關於各區磁場的敘述,哪一項正確? (A)除象限Ⅰ外,其餘均無磁場垂直穿出紙面的區域 (B)僅有象限Ⅱ具磁場量值為零的區域 (C)僅有象限Ⅲ、Ⅳ具磁場量值為零的區域 (D)象限Ⅲ的磁場方向均為垂直穿入紙面
75. 一質量2kg物體以3 m/s速度滑上某一斜面。若其摩擦係數μ=0.2,斜面角度為30°,則此物體可上升的最大距離約為多少公尺?(g=10 m/s²) (A) 0.33m (B) 0.67m (C) 1.33m (D) 1.67m
76. 一個連續週期繩波向x的方向傳播,如下圖所示。若細繩上的各質點在原位置每分鐘上下振盪12次,則下列敘述何者正確? (A)此週期波的波長為15公分 (B)此週期波的振幅為4公分 (C)此週期波的頻率為12赫 (D)此週期波的波速為2.4公分/秒
77. 一螺線管長為1.0m,截面積為20cm2 ,共有1000匝。若在1.0×10-3 秒內其所載電流由 1.0A變為-2.0A,則其平均應電動勢之大小為多少伏特? (磁導率μ0 = 4π× 10-7 m-T/A) (A) 1.2π×10-2 (B) 1.8π (C) 2.4π×10-3 (D) 2.4π
78. 一個變壓器的能源轉換效率是85%。若對此變壓器輸入電壓220V,輸入電流為9.1A,則當輸出電壓為110V,其輸出電流大約是多少A? (A) 18.2A (B) 15.45A (C) 9.1A (D) 2.1A
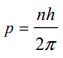
79. 在波耳的氫原子模型中,電子可視為以質子為中心做半徑為r的等速圓周運動。考量物質波模型,當電子處於容許的穩定狀態時,軌道的周長必須符合圓周駐波條件。軌道半徑也隨著主量子數n而愈來愈大。設普朗克常數為h,當電子處於主量子數為n的穩定軌道的情形之下,電子的動量p量值為何? (A)(B) (C)(D)
80. 如果地球兩極的陸地冰層,譬如南極大陸的冰層和北半球的格陵蘭島真的全部融化,粗略預估全球海平面最可能會上升多少高度?(已知全球海洋的平均深度約為 4,000m;南極大陸的冰層厚度約2.2km,面積約13,000,000km²;格陵蘭的面積約 1,700,000km²,冰層厚度約1.5km;地球半徑R約6,400km;球體表面積以4πR²計算) (A) 0.8m (B) 8m (C) 80m (D) 800m