所屬科目:普通化學
1 下列化合物中,何者最不易使酸性過錳酸鉀溶液褪色?(A)甲酸 (B)丁醛 (C)丙酮 (D)草酸
2 下列哪一選項是形成蛋白質螺旋或褶板結構的主要作用力?(A)氫鍵 (B)離子鍵 (C)肽鍵 (D)凡得瓦力。
3 下列化學式,何者有同分異構物?(A)CH4 (B)C2H4 (C)C3H6 (D)C3H8
4 有關胺類的性質,正確者為何?(A)苯胺為具特殊味之液體,久置空氣中會氧化而呈褐色(B)鹼性:苯胺>甲胺>氨(C)各級胺均具氫鍵(D)可用 Pt 為催化劑而將硝基苯氧化成苯胺。
5 下列有關澱粉、纖維素、肝醣的敘述,哪一選項是正確?(A)彼此為同分異構物 (B)皆屬於聚醚類的聚合物(C)皆屬於加成聚合物 (D)皆可與多侖試劑反應。
6 下列有關熱塑性或熱固性聚合物的敘述,正確者為何?(A)線型結構的聚合物分子是以氫鍵相連成長鏈骨架(B)大多數線型聚合物加熱無法融化,且難溶於任何溶劑中(C)熱固性聚合物遇熱可再度軟化,具有可塑性,冷卻即凝固成型(D)在適當條件下,部分線型結構的聚合物分子,可在鏈與鏈間產生共價鍵。
7 下列有關烷類的敘述,何者正確?(A)烷類可與強氧化劑反應(B)丙烷與氯反應,最多可得 4 種二氯丙烷的異構物(C)正丁烷在高溫下行熱裂解反應時僅得 1-丁烯(D)烷類可與濃硝酸和濃硫酸反應。
8 下列有關於醛和酮之敘述,何者正確?(A)碳數少的甲醛或乙醛,有水果香味(B)均含有碳 - 氧雙鍵(C)最簡單分子的醛為甲醛、最簡單分子的酮為甲酮(D)將任意炔烴與水進行加成反應,皆可產生酮類。
9 下列脂芳烴何者之熔點最高?(A) (B) (C) (D)
10 天然葉綠素含有何種金屬離子?(A)Cu2+ (B)Ca2+ (C)Fe2+ (D)Mg2+
11 溫度為 100℃的水蒸氣所造成的燙傷,一般會比相同質量的 100℃沸水來得嚴重,下列哪一選項最能合理解釋此現象?(A)水蒸氣導熱性比沸水良好 (B)水蒸氣凝結時會釋放大量的凝結熱(C)水蒸氣的比熱大於沸水的比熱 (D)水蒸氣的分子比沸水的分子大
12 下列關於碳與其常見化合物的敘述,何者正確?(A)石墨與鑽石皆有良好的導電性與導熱性(B)石墨與 C60的碳皆以 sp2混成軌域與相鄰的碳產生鍵結(C)鑽石與石墨烯的結構相似(D)常溫常壓下,CO 與 CO2皆為無色、無臭、無味、無毒的氣體
13 下列何種狀態下,氮氣具有最大的莫耳體積?(A)STP (B)NTP (C)2 atm、25°C (D)0.1 atm、400 K
14 將各為 1.0 莫耳的Ba(OH)2、NaOH、BaSO4及Na2SO4固體,分別置入 1.0 升的水中。試問哪一個溶液之蒸氣壓最高?(A)Ba(OH)2 (B) NaOH (C)BaSO4 (D)Na2SO4
15 下列哪一種現象或作用,不涉及氧化還原反應?(A)煉鐵時加入煤焦 (B)鋁粉與鹽酸作用(C)蘋果切開後曝於空氣 (D)硝酸銀水溶液加入食鹽。
16 在常溫常壓的條件下,下列關於水溶液之 pH 值的敘述,何者正確? (A)純水的 pH 值是 0 (B)酸性溶液的 pH 值永遠是正值 (C)在鹼性溶液中,0 <pH 值 <14 (D)鹼性溶液的 pH 值代表溶液中的氫離子濃度。
17 下列敘述,哪一項與勻相催化作用有關?(A)以 NO 催化臭氧分解(B)氯酸鉀與二氧化錳共熱製備氧氣(C)工業上,以哈柏法製造氨氣(D)在汽車排氣系統使用觸媒轉化器。
18 比較下列鍵長大小,何者正確?(A)C-C 鍵:金剛石>石墨>苯 (B)C-C 鍵:乙炔>乙烯>乙烷(C)S-O 鍵:SO2 > SO3 > SO42-(D)N2 > O2 > F2
19 25℃時,水的飽和蒸氣壓為 24 mmHg,若空氣相對溼度為 80%,於 25℃將 760 mmHg 之空氣 10 升壓縮成 2.5 升時,則壓力變為下列何者? (A)304 cmHg (B)300 cmHg (C)299 cmHg (D)298 cmHg
20 定量的 A、B 兩氣體置入一容器內,進行下列反應:A(g) + B(g) → C(g) + D(g), 反應速率常數為 0.02 M-1 s -1,現若將反應容器體積減為原來之,則速率變為 原來之若干倍? (A) 9 (B) (C) 27 (D)
21 附圖為開口式壓力計,置入某非揮發性液體甲,該液體密度為 1.04 g/mL(Hg 密度為 13.6 g/mL)。若大氣壓力為 0.9 atm,h=10.2 cm,則氣體壓力為多少mmHg?(A)684 (B)676 (C)692 (D)768 mmHg
22 下列何者不是氣體或物質三態具有的通性?(A)氣體是由不斷運動的粒子所組成(B)氣體可充滿任何容器,無固定形狀(C)物質三態的體積皆符合:固體<液體<氣體(D)氣體粒子會不斷地撞擊容器的器壁而產生壓力。
23 下列有關某元素5828X 的敘述,何者正確? (A)質子數為 30 (B)價層電子數為 8 (C)核心電子組態為[Ne] (D)其在化合物中最常見的氧化數為+2。
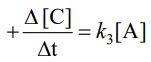
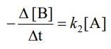
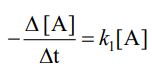
24 一級反應 A(g) + 3B(g) → 2C(g),其反應速率有三種表示法:;;,則 k1:k2:k3? (A) 2:3:1 (B) 3:2:6 (C) 1:3:2 (D) 6:3:2
25 某河川遭受有機物污染嚴重,發出臭味,後來在污水處理系統完成後,嚴格執行污水排放制度,並向河水輸送某種氣體,使水質得到顯著的改善(包括有利於恢復自然生態)。試問輸入河川的是何種氣體?(A) 二氧化碳 (B)一氧化碳 (C)氯氣 (D)氧氣。
26 某生想要探討鐵(Ⅲ)離子與硫氰離子(SCN-)的反應,於是先配製了一澄清 0.1M 的 Fe(NO3)3 溶液 100mL,但在配製過程中,忘記加入稀硫酸加以酸化。當Fe(NO3)3 溶液靜置一段時間後,發現該溶液變成混濁,同時容器底部有少許黃 褐色沉澱。試問下列哪一項最有可能為該沉澱物? (A)FeO (B)Fe2O3 (C)FeCO3 (D)Fe(OH)3
27 下列有關離子與分子形狀的敘述,哪一項正確? (A)水合的質子 H3O+,最安定的形狀為平面三角形 (B)因為 CO2為直線形,所以 CO32-為對稱的平面三角形 (C)NH4 +與 BF4 -皆為平面四方形 (D)氧氣是直線形,臭氧的形狀亦為直線形。
28 在 25℃,水的蒸氣壓為 23.8 mmHg,100 公升相對溼度 60%的空氣中,含多少克水蒸氣?(A)14.3 (B)2.38 (C)1.38 (D)0.68
29 氯化亞銅在水中的溶度積為下列何者? (A)[Cu2+][Cl- ]2 (B)[Cu22+][Cl- ]2 (C)[Cu+ ][Cl- ] (D)[Cu+ ]2 [Cl22- ]
30 下列關於主殼層 L 層的敘述,何者正確?(A)主量子數 n=3 (B)僅有一種副殼層(C)軌域總數有 9 個 (D)最多可容納 8 個電子。
31 氫氣和氧氣的混合物,點火會發生燃燒的反應:2H2(g) + O2(g) → 2H2O(g),則下列相關敘述中,何者正確?(H=1,O=16)(A)在同溫同壓下,2 升的氫和 1 升的氧作用,會生成 2 升的水蒸氣(B)反應前之莫耳數比,氫:氧:水 = 2:1:2(C)8 克成 40 的氫與 32 克的氧作用生克的水(D)同質量的 H2與 O2完全反應時,H2會先反應完畢
32 氣象用之氫氣球所需之氫,常用氫化鈣(CaH2,式量 = 42)與水反應,生成氫氧化鈣及氫來製備。則在 1 atm、25℃欲得 245 升氫氣,需氫化鈣若干克? (A)180 克 (B)210 克 (C)240 克 (D)420 克
33 若及時發現 CO 中毒者,以高壓氧治療,可恢復其血液攜氧之功能,此現象可由下列何者來解釋? (A) 勒沙特列原理 (B)離子交換 (C)廷得耳效應 (D)亞佛加厥定律。
34 下列有關鋁與含鋁化合物的敘述,哪一項正確? (A)霍爾法以 Na3AlF6為助熔劑,將氧化鋁加熱熔化後,通直流電進行電解,但此法極為耗能,故已捨棄不用 (B)Al(OH)3(s)屬於兩性物質,可溶於氨水中 (C)鋁之活性大,易氧化成氧化鋁,且結構緻密,可防止內層的鋁金屬氧化而鏽蝕的功能 (D)鋁之比重輕,僅鐵之 ,故純鋁適合用作飛機材料。
35 下列各種實驗操作,哪一項可使氣體體積變小?(A)定容下,冷卻定量氣體 (B)定溫下,減壓定量氣體(C)加熱一體積固定容器中的定量氣體 (D)定溫、定壓下,抽去一部分氣體。
36 下列氣體各處於不同狀態,請問何者性質最接近理想氣體? (A)100℃、1 atm、CO2 (B)0℃、100 atm、O2 (C)10-5℃、105 atm、H2 (D)105 K、10-5 atm、He
37 下表為常見的氣體在 25°C、1atm 下,於 1mL 水中的溶解度(單位:克)。 若”難溶”的定義是每 100mL 水中溶質的溶解度小於 0.01g 的物質稱為難溶物 質,且享利定律只適用於難溶於水的氣體,則表中哪一種氣體最適合於 25°C、1atm 時,在實驗室進行亨利定律的實驗? (A)NH3 (B)CO2 (C)O2 (D)He
38 於電解實驗中,某生於 2.0 M 的硫酸銅溶液,插入二純銅片分別作為正、負極,經過一段時間的直流電後,其中一電極析出的固態產物為 1.6 克,若欲於 12 分鐘內完成電鍍,電流為何?(S = 32,Cu = 64)(A)4.5 安培 (B)5.6 安培 (C)6.7 安培 (D)7.8 安培。
39附圖為某卡計系統的熱量與溫度變化關係圖。今取 0.4 g 甲醇(CH3OH,分子量為 32)與足量氧氣放入卡計中,通電使完全燃燒後,記錄卡計系統上升的溫度為14℃,求甲醇的莫耳燃燒熱為多少 kJ?(A) 350 (B) 400 (C) 700 (D) 800。
40 下列有關反應熱的敘述,何者正確?(A)反應熱是分子動能變化的表現(B)正反應和逆反應的反應熱大小相等,正、負符號相同(C)測定反應熱的標準狀態是 25 ℃、1 atm,此狀態下測得的反應熱以 ΔH° 表示(D)反應熱和初始狀態、最終狀態及物質變化的途徑有關。
41 生活中常見不同形式的能量可以相互轉換。下列各敘述中能量的轉換,何者不正確?(A)冬天使用電暖器:電能→熱能 (B)用瓦斯爐煮菜:化學能→電能(C)鋰電池充電:電能→化學能 (D)風力發電:動能 → 電能。
42 將 324 克銀、1.6 莫耳硫化氫和 64 克氧混合,依化學反應式:Ag+H2S+O2 →Ag2S+H2O(係數未平衡)進行反應,則下列敘述,哪些正確?(原子量:H=1,O=16,S=32,Ag=108)(A)反應式係數平衡後最簡單整數係數和為 10(B)因為氧的質量最輕,故為限量試劑(C)因為硫化氫的莫耳數最少,故為限量試劑(D)硫化銀 Ag2S 的理論產量為 372 克。
43 下列有關電池與電解的敘述,何者正確?(A)電池與電解都是氧化還原反應(B)在使用乾電池時,其內的電能會轉換成化學能(C)必須外加電壓,電池才能發生(D)電解水時,水分解成氫原子與氧原子。
44 化或反應為放熱的化學反應?(A)光合作用 (B)水蒸氣凝結 (C)酸鹼中和 (D)核能發電。
45 下列哪一個物質的孤對電子對最多?(A)CO (B)CO2 (C)NH3 (D)Cl2。
46 下列哪一個物質不含參鍵?(A)CO (B)CO2 (C)C2H2 (D)HCN。
47 下列有關電負度的敘述,何者正確?(A)同一族的元素,電負度隨原子序之增加而增加(B)以共價鍵結合的兩原子,共用電子對傾向電負度小的原子(C)電負度愈大的原子,金屬性增加(D)同一週期的元素,電負度隨原子序之增加而增加。
48 將下列各溶液混合,何者可以形成緩衝溶液?(A)0.1 M、100 mL 的 NH4Cl 和 0.1 M、100 mL 的 NaOH(B)0.1 M、100 mL 的 NH4Cl 和 0.1 M、50 mL 的 HCl(C)0.1 M、100 mL 的 NH4Cl 和 0.1 M、75 mL 的 NaOH(D)0.1 M、100 mL 的 NH4Cl 和 0.1 M、200 mL 的 HCl
49 某閉口式壓力計充入 A 氣體後,閉口端汞柱高度為氣室端的 3 倍;改換 B 氣體後,閉口端汞柱高度為氣室端的 4 倍,則 B 氣體的壓力為 A 氣體的幾倍? (A)1.8 (B)1.6 (C)1.4 (D)1.2
50 室溫下,下列何組反應速率最慢?(A)氫氧化鈉水溶液加鹽酸 (B)氯化鈉水溶液加少量的硝酸銀(C)乙醇與酸性二鉻酸鉀水溶液 (D)鐵釘放入硫酸銅水溶液。