所屬科目:身心障礙升大專-數乙
1.下列哪一條直線與直線Lxy:2x-3y+5=0互相平行?(A)2x+3y-5=0(B)3x+2y+5=0(C)4x-6y+5=0(D)6x-4y+5=0
2.假設坐標平面上有Ax(1,)−、B(2,3)、Cy(,1)−三點,且G(1,2)為△ABC之重心,則(x,y)為何?(A)(-2,-4)(B)(0,0)(C)(2,4)(D)(4,2)
3.已知直線L:4+3+12=0,則直線L與兩坐標軸所圍成的三角形面積為何?(A)12(B)3(C)24(D)6
4.解方程式,則x=?(A)1(B)–1(C)–3、1(D)–1、3
5.設、c=log927、,試比較數值的大小關係為何?(A)c<a<d<b(B)d<c<a<b(C)c<a<b<d(D)a<c<d<b
6.已知1及–2為方程式-2x2+ax+b=0的兩根,則方程式x2-(a2+1)x=(a-b)=0的兩根為何?(A)−1、6(B)−3、2(C)−2、3(D)−6、1
7.已知二次函數f(x)=-x2+ax+b的對稱軸為x=−1,且此二次函數過點(0,1),則a+b=?(A)−1(B)0(C)1(D)2
8.若多項式f(x)除以x−2得餘式3,f(x)除以x+3得餘式−2,則f(x)除以(x-2)(x+3)所得的餘式為何?(A)x+1(B)−x+5(C)2x−1(D)−2x−8
9.已知有一個長方形,若將它的長減少2公分,寬增加1公分之後,可得到一個正方形,且此正方形面積與原長方形面積相等,則原長方形的周長為多少公分?(A)5(B)10(C)15(D)20
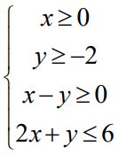
10.二元一次聯立不等式圖形所圍成的區域面積為何?(A)8(B)10(C)12(D)14
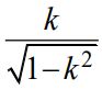
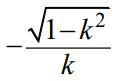
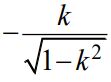
11.設sin220°=k,則tan310°=?(A)(B)(C)(D)
12.在△ABC中,=2,=5,=4,則=?(A)(B)(C)(D)
13.若(a,b)為圓x2+y2=36上一點,則的最小值為何?(A)5(B)6(C)7(D)8
14.一等差數列有20項,若公差為3,且前5項的總和為A,則此等差級數總和為何?(A)4A+60(B)4A+210(C)4A+330(D)4A+450
15.設=−(2,2)、=−(3,7),則之最小值?(A)2√2(B)4(C)4√2(D)8
16.老師在數學課出了一道題:在△ABC中,已知∠B=B30,=3,=2。
小明:我可以確定∠C>30°
阿美:我可以確定∠C正弦值
大貴:我可以確定∠C的餘弦值
雄仔:我可以確定△ABC的外接圓半徑
芊芊:我可以確定△ABC的內切圓半徑
試問有幾位同學說對了?(A)1(B)2(C)3(D)4
17.某職棒球隊想從6位球星跟5位啦啦隊員中,選出4位來參加公益活動,其中球員跟啦啦隊員至少要一位,則球隊有多少種的選擇方式?(A)60(B)170(C)230(D)310
18.如圖(一)的方格中任取三個格子,所選出的格子在 不同行 ,也在 不同列 的機率為何?
(A)(B)(C)(D)
19.某班40位學生,但是因為數學成績不佳,平均為45分,標準差為9分,若老師將成績以y=AX+B的方式調整成績(其中x為原始成績,y為微調後的成績,a、b為二常數),將成績提高至平均為63分,但標準差卻因此變為15分,則下列何者正確?(A)原始成績與調整後的全距不變(B)原始成績與調整後的中位數不變(C)原始成績與調整後的眾數不變(D)原始成績30分的某位學生經調整後成績為38分
20.阿圓跟阿方從同一地點出發,阿圓往東15°北的方向以每秒鐘5公尺前進,阿方則朝西75°南方向以每秒鐘3公尺前進,試求過了10秒鐘之後,他們兩個人相距幾公尺?(A)55(B)60(C)65(D)70