阿摩線上測驗
登入
首頁
>
身心障礙升大專-數乙
>
114年 - 114 身心障礙學生升學大專校院甄試試題_四技二專組:數學(B)#137210
> 試題詳解
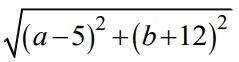
13.若(a,b)為圓x
2
+y
2
=36上一點,則
的最小值為何?
(A)5
(B)6
(C)7
(D)8
答案:
登入後查看
統計:
A(0), B(0), C(1), D(1), E(0) #3811360
相關試題
1.下列哪一條直線與直線Lxy:2x-3y+5=0互相平行?(A)2x+3y-5=0(B)3x+2y+5=0(C)4x-6y+5=0(D)6x-4y+5=0
#3811348
2.假設坐標平面上有Ax(1,)−、B(2,3)、Cy(,1)−三點,且G(1,2)為△ABC之重心,則(x,y)為何?(A)(-2,-4)(B)(0,0)(C)(2,4)(D)(4,2)
#3811349
3.已知直線L:4+3+12=0,則直線L與兩坐標軸所圍成的三角形面積為何?(A)12(B)3(C)24(D)6
#3811350
4.解方程式,則x=?(A)1(B)–1(C)–3、1(D)–1、3
#3811351
5.設、c=log927、,試比較數值的大小關係為何?(A)c<a<d<b(B)d<c<a<b(C)c<a<b<d(D)a<c<d<b
#3811352
6.已知1及–2為方程式-2x2+ax+b=0的兩根,則方程式x2-(a2+1)x=(a-b)=0的兩根為何?(A)−1、6(B)−3、2(C)−2、3(D)−6、1
#3811353
7.已知二次函數f(x)=-x2+ax+b的對稱軸為x=−1,且此二次函數過點(0,1),則a+b=?(A)−1(B)0(C)1(D)2
#3811354
8.若多項式f(x)除以x−2得餘式3,f(x)除以x+3得餘式−2,則f(x)除以(x-2)(x+3)所得的餘式為何?(A)x+1(B)−x+5(C)2x−1(D)−2x−8
#3811355
9.已知有一個長方形,若將它的長減少2公分,寬增加1公分之後,可得到一個正方形,且此正方形面積與原長方形面積相等,則原長方形的周長為多少公分?(A)5(B)10(C)15(D)20
#3811356
10.二元一次聯立不等式圖形所圍成的區域面積為何?(A)8(B)10(C)12(D)14
#3811357
相關試卷
115年 - 115 身心障礙學生升學大專校院甄試試題_四技二專組:數學(B)#139525
2026 年 · #139525
115年 - 115 身心障礙學生升學大專校院甄試試題_大學組:數學 B#139485
2026 年 · #139485
114年 - 114 身心障礙學生升學大專校院甄試試題_四技二專組:數學(B)#137210
2025 年 · #137210
114年 - 114 身心障礙學生升學大專校院甄試試題_大學組:數學 B#127350
2025 年 · #127350
113年 - 113 身心障礙學生升學大專校院甄試試題_大學組:數學 B#125692
2024 年 · #125692
113年 - 113 身心障礙學生升學大專校院甄試試題_四技二專組:數學(B)#125670
2024 年 · #125670
112年 - 112 身心障礙學生升學大專校院甄試試題_四技二專組_共同科目:數學(B)#118676
2023 年 · #118676
112年 - 112 身心障礙學生升學大專校院甄試試題_大學組:數學B#113574
2023 年 · #113574
111年 - 111 身心障礙學生升學大專校院甄試試題_大學組:數學B#107727
2022 年 · #107727
110年 - 110 身心障礙學生升學大專校院甄試試題_大學組_第一類組:數學乙#120831
2021 年 · #120831