5. 某 公 司 統 計 上 週 8 家 分 店 的 來 店 人 數 x ( 單 位:百 人 )及 營 業 額 y ( 單 位:萬 元 ), 得 到 8 筆 數 據 ( , ) x y , 記 錄 如 下 :
(3,3)、 (3,5)、 (3,2)、 (4,4)、 (5,8)、 (6,7)、 (8,12)、 (8,7)。
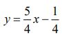
在坐標平面上標出這 8 個點(如圖所示),推得這 8 筆數據 y 對 x 的最適直線(迴歸直線) 方程式 為
。

公司想從另一個角度分析,將這 8 筆數據的來店人數、營業額各自從小到大排序,
得到新的 8 筆數據
(x,y)
如下:
(3,2)、 (3,3)、 (3,4)、 (4,5)、 (5,7)、 (6,7)、 (8,8)、 (8,12)。
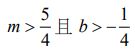
設 新 的 8 筆數據 y 對 x 的最適直線( 迴 歸 直 線 )方程式 為 y=mx+b ,其 中 m、 b為實數 。 根 據 上 述 , 試 選 出 正 確 的 選 項 。(A)
(B)
(C)
(D)
(E)