所屬科目:船用電機與自動控制(概要)
1. 於交流發電機中,感應電動勢為一正弦曲線的正弦波,試問一個完整的正弦波所對應的時間應稱之為何? (A) 週期(Period) (B) 頻率(Frequency) (C) 振幅(Amplitude) (D) 相位(Phase)
2. 一般而言一塊鐵心當繞上線圈後,通入電流會產生磁力現象,當此電流消失後會產生何種現象? (A) 磁力立刻消失 (B) 會有剩磁留下 (C) 與電流消失前磁力相同 (D) 磁力反而變大
3. 鹽度計主要是利用何種特性推算出鹽度?(A) pH值(B) 黏度(C) 導電性(D) 透光率
4. 針對或閘(OR Gate)之敘述,下列何者正確?(A、B為輸入訊號)(A) A+B=A(B) A+B=B(C)(D)
5. 於同步發電機中,感應電壓的高低與下列哪一項無關?(A) 原動機種類(B) 激磁電流(C) 轉數(D) 頻率
6. 於永久磁石可動線圈型之電力計器,其有關儀器靈敏度之敘述下列何者有誤?(A) 係指針偏轉之距離與計測值間的比例(B) 儀器本身消耗電流越大,其靈敏度越好(C) 指針誤差越大其靈敏度越差(D) 於精密量測設備,其靈敏度要求越高
7. 有關繞線式感應電動機之敘述,下列何者有誤?(A) 其轉子由繞組繞成(B) 起動轉矩無法調整(C) 轉子上有滑環構造(D) 改變轉子電阻可改善起動特性
8. 將直流電轉變為交流電的裝置稱為下列何者?(A) 整流裝置(B) 變流裝置(C) 變頻裝置(D) 突變裝置
9. 經過二極體的整流電路後,一般會加裝何種元件來達到較好的濾波效果?(A) 在負載前並聯一個小電容組成之電路(B) 在負載前並聯一個小電感組成之電路(C) 在負載前並聯一個大電容組成之電路(D) 在負載前並聯一個大電感組成之電路
10. 直流電動機產生旋轉之方向是根據下列哪一個定理?(A) 安培定理(B) 法拉第定理(C) 佛萊銘左手定則(D) 佛萊銘右手定則
11. 直流發電機能產生直流之整流效果主要是藉由何種裝置來達成?(A) 電樞(B) 電刷(C) 換向片(D) 磁鐵
12. 大型快速貨櫃船都改以6.6KV/60Hz 三相的電力系統供應,會使電流大大減少,還有甚麼其他好處? (A) 激磁機的電流也可降低 (B) 銅線電纜的成本可大幅度減輕 (C) 發電機的磁極數也可減少 (D) 操作人員更安全
13. 當使用Y 接法於三相交流感應電動機啟動時,對單相而言,相電壓大小為Δ接法之幾倍?(A) 2倍(B) 1.732倍(C) 1倍(D) 0.577倍
14. 在指示式量測計器中之可動線圈型是利用永久磁鐵之磁場與哪一個物理量互相作用?(A) 可動線圈上電壓產生的功率(B) 可動線圈上電流產生的磁場(C) 可動線圈上電場(D) 可動線圈上輻射
15. 下列何種控制方法能夠增加系統的阻尼,從而提高系統的穩定性?(A) 比例控制(B) 微分控制(C) 積分控制(D) 比例-積分控制
16. 若在一管路中,截面積之比,若速率 =? (A) 2.5m/s (B) 10m/s (C) 20m/s (D) 40m/s
17. 下列哪一種液壓泵除了原有的泵所具備的功能外,又可做為可變排量泵?(A) 內嚙合齒輪泵(B) 外嚙合齒輪泵(C) 螺旋式泵(D) 斜盤式軸向柱塞泵
18. 鉛蓄電池之單體電壓低於多少伏特就不宜再放電?(A) 0.7伏特(B) 1.0伏特(C) 1.7伏特(D) 2.0伏特
19. 為了將量測資料聯結至電腦化監控系統進行記錄及監視,量測訊號需要經過資料擷取系統處理,其主要的處理內容為何? (A) 定時巡查 (B) 類比/數位轉換 (C) 控制 (D) 顯示
20. 磁通為 Wb通過1.0平方公尺的截面積,試求磁通之線度為何?(A) 102line(B)104 line(C)106line(D) 108line
21. 交流電壓頻率為60Hz,電壓為110V,電感L=0.5H,電阻 R=10Ω,求電壓與電流之夾角約為何? (A) 87゚ (B) 84゚ (C) 80゚ (D) 77゚
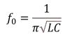
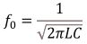
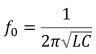
22. RLC串聯電路,當時電路發生共振(諧振)現象,則共振頻率f0為何? (A) (B) (C) (D)
23. 載流電路之電流5A,現有一個100Ω的電阻器,應該選擇哪一個規格的電阻器?(A) 1.0KW(B) 2.0KW(C) 2.4KW(D) 3.0KW
24. 下列何者非補償的本質?(A) 削弱非線性因素(B) 抑制干擾(C) 提高模型變動的不靈敏性(D) 改變機構本質
25. 能快速反應被控制對象的輸出和標準值的誤差,以利對控制器提出補償動作的是?(A) 串聯補償(B) 回授補償(C) 前饋補償(D) 複合補償
26. 有關空氣切斷開關(ACB),發生異常時能自動隔離故障以維持電力系統安全,下列何者不為其作動的異常狀況? (A) 短路 (B) 過載 (C) 欠壓 (D) 頻率高
27. 當船舶失去動力的情況下,緊急饋電盤的電力是維持船舶安全所需之必要電力供給,下列何者為非? (A) 通風 (B) 電池充放電盤 (C) 主機遙控及監控系統 (D) 航儀
28. 有關交流發電機發生欠壓狀況之描述,下列敘述何者有誤?(A) 欠壓時,發電機空氣斷路器(ACB)可能會跳脫以保護系統(B) 欠壓時可能造成電動機過電流(C) 欠壓保護裝置通常具有時間延遲功能(D) 欠壓現象與自動電壓調整器(AVR)的功能無關
29. 某家庭用戶電鍋1KW每天使用1小時,冷氣1.5KW每天使用4小時,洗衣機1KW使用1小時,若每度約2.5元,每月30天計算,這些家電每月共耗用多少錢? (A) 300 (B) 400 (C) 500 (D) 600
30. 有一電阻器的色碼依次為:紅黃棕金,其電阻值約是多少?(A) 200 Ω(B) 240 Ω(C) 300 Ω(D) 350 Ω
31. 下列哪一項電力計器是利用固定線圏和可動線圏上電流相互間的電磁作用,可通用於交、直流電? (A) 可動鐵片型 (B) 電流轉矩型 (C) 整流器型 (D) 振動片型
32. 當船舶(使用AC 6.6kV電網系統)停靠於港口時,將透過下列哪個系統來連接岸上供電系統,並停用船上發電機,以岸電完全取代船上發電系統? (A) MPA (B) AMP (C) APM (D) MAP
33. 船舶接用岸電作業,暸解船舶在接用岸電設備上,最低限度需求。不包括下列哪一項?(A) 切勿使用內鎖裝置(B) 提供同步設計(計畫),岸電相序應與船電系統相序相匹配(C) 均應提供警報聲音信號與警示燈信號,提醒人員知悉(D) 提供低阻抗絕緣裝置,為接地導體,此導體將與岸電接地導體,路徑相通
34. 當導線線圏切割磁場,於導線線圏兩端會有感應電壓,此感應電應的大小為:,此為何種定律?(A) 法拉第定律(B) 楞次定律(C) 克希荷夫定律(D) 安培右手定則
35. 鍋爐控制給水信號一般使用何種控制?(A) 伺服機構(B) 自動調整(C) 自動信號(D) 程序控制
36. 常用於「壓力」的表示下列何者有誤?(A) 大氣壓力=1atm=14.7psi。(B) 絕對壓力=大氣壓力−錶壓力。(C) 大氣壓力=絕對壓力十真空壓力(D) 真空壓力:低於大氣壓力的壓力。
37. 當外加輸入壓力改變時,壓力仲縮囊會收縮或伸長,進而通過連桿連接到滑動電位計上,從而改變輸出電位的大小。以下哪一種是這種類型的電氣作動型壓力感測組件? (A) 電容式壓力感測器 (B) 電位計式壓力感測器 (C) 差動式壓力感測器 (D) 壓電式壓力感測器
38. 一般氣壓控制系統元件的操作壓力約為多少?(A) 2~5bar(B) 3~8bar(C) 5~10bar(D) 10~15bar
39. 磁通的單位為韋伯,1韋伯相當於有多少條磁力線?(A) 107條(B) 108條(C) 109條(D) 1010條
40. 下列那一個關於電流的說明是正確?(A) 每秒流過一庫倫的電量稱1安培(B) 使用在電學的國際CI制之實用單位為安培(Ampere)(C) 1電子= 庫倫(D) 1庫倫= 個電子