所屬科目:船用電機與自動控制(概要)
1. 並聯電路一電阻Ra = 90 Ω,電流1A,另一電阻Rs電阻值為Ra的1/10,則其總電流為何?(A) 0.1A(B) 5A(C) 9A(D) 11A
2. 主機操俥位置在駕駛台,若將俥鐘桿由正俥全速直接移至倒俥的某速時,主起動閥何時開啟? (A) 俥鐘桿移至倒俥定位時 (B) 俥鐘桿移經停俥位置時 (C) 俥鐘桿移至倒俥且轉速降至煞俥轉速時 (D) 當俥鐘桿移至倒俥且轉速降至可換向轉速
3. 積分控制器的主要目的為何?(A) 消除暫態誤差(B) 消除穩態誤差(C) 增加反應速度(D) 消除不穩定性
4. 流體的黏滯性在管路中所造成的壓降,在一定管長、管徑與流速下,其關係為下列何者?(A) 壓降與流體絕對黏度成正比(B) 壓降與流體絕對黏度平方成正比(C) 壓降與流體絕對黏度成反比(D) 壓降與流體絕對黏度平方成反比
5. 考慮布林代數式, 下列何者為其簡化後之布林代數式?(A) B+AC(B) A+BC(C)(D)
6. 下列哪一個不是造成一般並激式直流發電機其輸出電壓,會隨著負載電流大小之變動而產生變化之主要原因? (A) 電樞反應之去磁效應 (B) 電樞本身銅線之壓降 (C) 因激磁減少 (D) 因鐵心鐵損增加
7. 若變壓器一、二次側線圈之繞線方向相反,則下列敘述何者正確?(A) 變壓器之極性為加極性(B) 變壓器之極性為減極性(C) 變壓器之極性為正極性(D) 變壓器之極性為負極性
8. 電機(發電機及電動機)在過載耐力檢驗中,其對承受過載電流之限制為何?(A) 屬連續輸出設備者,須能承受50%過載電流2分鐘(B) 屬連續輸出設備者,須能承受100%過載電流10分鐘(C) 屬非連續輸出設備者,須能承受100%過載電流10分鐘(D) 屬連續輸出設備者,須能承受過載電流沒有限制
9. 關於比例-積分-微分控制之敘述,下列何者不正確?(A) 以比例控制器為主(B) 積分控制器能消除靜態偏差(C) 微分控制器能實現超前控制的優點(D) 微分控制的最大靜態偏差較小,動態精度低
10. 船舶控制室之監視與警報系統中,當發生故障警報之警示,當值人員應首先執行下列何任務? (A) 當值人員進到控制室內首先按下警報聲響停止按鈕 (B) 當值人員到故障現場首先按下警報聲響停止按鈕 (C) 當值人員到故障現場首先排除故障 (D) 當值人員到故障現場首先檢視故障向船長報告
11. 白金感溫電阻其電阻值會隨溫度增加,產生何種變化?(A) 電阻值會隨溫度增加而增加(B) 電阻值會隨溫度增加而減少(C) 電阻值不隨溫度變化(D) 電阻值會隨溫度增加有時增加有時減少
12. 將一線圈切割磁場就會產生感應電壓,此為下列哪一定律?(A) 法拉第定律(B) 歐姆定律(C) 安培定律(D) 克希荷夫定律
13. 船用柴油主機控制系統的核心裝置為下列何者?(A) 遙控裝置(B) 安全保護裝置(C) 測速裝置(D) 控制操縱台
14. 電子調速器控制系統,若主、副電力皆失效時,該系統為保持安全狀態,在設計上有何特殊反應動作? (A) 立即切斷油門 (B) 保持目前油門開度 (C) 自動減速程序 (D) 自動切換至機側
15. 某輪船之AC 440 V分電盤上,欲以垂直方式增裝一只15 A模組式無熔絲電路斷路器(Nofuse Circuit Breaker),如圖所示,則那一端是聯結供電端?(A) 頂端,T(B) 右側,S(C) 左側,P(D) 底端,B
16. 柴油主機遙控操縱系統中,其操俥位置最優先等級為下列何者?(A) 船橋(B) 機艙控制室(C) 機側(D) 舷側
17. 在R=10Ω,XL =20Ω,XC =30Ω的串聯交流電路中,電源電壓v與i的正確關係是: (A) i超前v=45°,cosφ=0.707 (B) i超前v=30°,cosφ=0.5 (C) i與v同相cosφ=1.0 (D) i滯後v=45°,cosφ=0.707
18. 監視系統本身的自檢功能,不需包含:(A) 感測器(B) 電壓電源(C) 電源保險絲(D) 馬達
19. 利用本身交流電經過整流後再激磁的交流發電機是屬於何種激磁系統?(A) 並激(B) 自激(C) 複激(D) 他激
20. 在船舶的航向控制系統中,感測器(Sensor)是指:(A) 船體(B) 電羅經(Gyro-compass)(C) 自動導航系統(Auto-pilot)(D) 舵機(Steering gear)及舵(Rudder)
21. 一般用於整流的半導體材料所做成的元件為何?(A) 精密陶瓷元件(B) 場效電晶體(FET)(C) 雙載子接合電晶體(BJT)(D) 二極體
22. 一般用於辨識系統之頻率響應所用的輸入訊號為何?(A) 脈衝輸入(B) 步階輸入(C) 斜坡輸入(D) 弦波輸入
23. 16進位數中(AC2)16轉換為十進位數,應為下列何者?(A) 2472(B) 2754(C) 2962(D) 3042
24. 若一個互斥或閘(XOR Gate)之輸入值分別為A及B,輸出值為Z,則下列敘述何者正確?(A) 若A=1,B=1,則Z=1(B) 若A=1,B=0,則Z=1(C) 若A=0,B=0,則Z=1(D) 若A=0,B=1,則Z=0
25. 下列敘述何者有誤?(A) 比壓器(PT)在使用上避免二次側短路(B) 比流器(CT)在使用上避免二次側開路(C) 理想運算放大器輸入阻抗很小(D) 一般高壓變低壓的變壓器二次側的導線比一次側粗
26. 在一RC串聯電路中,其時間常數的大小為何?(A) RC(B) C/R(C) R/C(D) 1/RC
27. 如圖所示電路,經過很長一段時間以後電阻器兩端之電壓(VR)會接近多少伏特?(A) 0V(B) 3V(C) 6V(D) 12V
28. 如圖所示電路,18Ω兩端間的電壓VR為何?(A) 4V(B) 6V(C) 8V(D) 9V
29. 關於比例(P)、積分(I)及微分( D )控制之應用,有關微分器之很少單獨被使用其主要原因為何? (A) 微分器之價格最貴 (B) 微分器很難設計 (C) 微分器會將高頻雜訊放大 (D) 微分器之零件很難取得
30. RLC並聯電路中,下列敘述何者正確?(A) 在任何頻率下電壓會超前電流一角度(B) 在任何頻率下電壓會落後電流一角度(C) 當頻率為諧振(共振)頻率時其功率因數為1電路呈現純電阻特性(D)
31. 關於電容的下列說法,何者是錯誤?(A) 電容在穩態直流電路中相當於短路(B) 電容是本身具有充放電功能可以穩定輸出電壓(C) 電容器其電壓相位落後電流相位90度(D) 電容器兩端的電壓不能突然瞬間改變
32. 在交流電路中負載要如選擇可傳輸最大平均功率到負載?(A) 負載的阻抗值與前端戴維寧等效電路阻抗值相同(B) 負載的阻抗值為前端戴維寧等效電路阻抗值之共軛複數值(C) 負載的阻抗值與前端諾頓等效電路阻抗值相同(D) 負載的阻抗值可以任選
33. 下列哪一個不是主要的柴油發電機配線匯流排保護警報?(A) 高電壓警報(B) 低電壓警報(C) 高頻率警報(D) 低頻率警報
34. 一般柴油發電機發生逆功率保護情況,主要故障原因為何?(A) 匯流排故障(B) 絕緣老化造成外部短路(C) 自動電壓調整裝置故障(D) 原動機故障
35. RLC並聯電路,若電阻R=0.25Ω、感抗XL=0.2Ω、容抗XC=0.5Ω,試求整體電路之功率因數為?(A) 0.4(B) 0.5(C) 0.707(D) 0.8
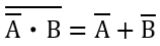
36. 下列哪一個邏輯運算是有誤?(A) A+B=B+A(B) A‧B=B‧A(C)(D)
37. RC的串聯交流電路中,電壓v(t)與電流i(t)的相位關係為何?(A) 同相(B) i(t)超前於v(t)(C) i(t)滯後於v(t)(D) 相差180°
38. 三相對稱負載Δ型連接,其相電流為10 A,則線電流約為何?(A) 7.07 A(B) 10 A(C) 17.32 A(D) 14.14 A
39. 船舶電力系統主要包含四大部分,下列哪一個不是?(A) 電源(B) 斷路器(C) 配電系統(D) 放大電路
40. 熱電耦是利用溫差來產生感應電壓,下列哪一個是錯誤的?(A) 熱電耦不可直接至於火焰中加熱(B) 為隔離雜訊導線管須接地(C) 熱電耦可以產生高電動勢(D) 可以利用熱敏電阻來設計自動溫度補償電路