阿摩線上測驗
登入
首頁
>
技檢◆數位電子-乙級
> 114年 - 11700 數位電子 乙級 工作項目 05:電子學與電子電路 1-50(2025/12/12 更新)#134873
114年 - 11700 數位電子 乙級 工作項目 05:電子學與電子電路 1-50(2025/12/12 更新)#134873
科目:
技檢◆數位電子-乙級 |
年份:
114年 |
選擇題數:
50 |
申論題數:
0
試卷資訊
所屬科目:
技檢◆數位電子-乙級
選擇題 (50)
1. N 型半導體中,有較多的自由電子,因此其帶電性為 (A)帶有正電 (B)帶有負電 (C)偶而帶電 (D)電中性 。
2. 有一共集極電晶體放大電路之負載電阻 R
L
=1KΩ,且電流增益 hfe(或β值)為 100,假設電晶體的 hie 可忽略不計,則此放大電路輸入阻抗為(A)10KΩ (B)11KΩ (C)101KΩ (D)1MΩ 。
3. 欲使 P 通道增強型 MOSFET 導通,其閘極偏壓 V
gs
應加 (A)正電壓 (B)負電壓 (C)正、負電壓均可 (D)零電壓 。
4. 一般放大器之頻率響應曲線,在截止頻率處之電壓增益為最大電壓增益之多少倍? (A)0.707 (B)0.632 (C)0.5 (D)0.25 。
5. 在三級 RC 相移振盪器中,其電路增益 A 必須 (A)小於 29 (B)大於 29 (C)等於 0 (D)近似於無限大 。
6. 一個理想運算放大器共模訊號之拒斥能力以 CMRR 來表示,一般為 (A)小於 1 (B)等於 0 (C)近似於 1 (D)近似於無限大 。
7. 下圖之電路,若採用理想的運算放大器,則輸出電壓為
(A)-2V (B)-1.5V(C)1.5V (D)2V 。
8. 全波整流電路中,輸出電壓的平均值為峰值的幾倍? (A)1/π (B)2/π (C)3/π (D)4/π 。
9. 一個理想的互導放大器,其輸入阻抗 Ri 與輸出阻抗 Ro 應為 (A)Ri=∞,Ro=0 (B)Ri=0,Ro=∞ (C)Ri=0,Ro=0 (D)Ri=∞,Ro=∞ 。
10. 電波頻率為 1500KHz,其電波的波長為 (A)2 公尺 (B)20 公尺 (C)200 公尺(D)2 公里 。
11. 共射極電晶體電路中,射極電流為 5mA,基極電流為 0.1mA,則其電流增益為 (A)39 (B)49 (C)59 (D)69 。
12. 巴克豪生振盪準則(Barkhausen Criterion)是 (A)βA<1∠0° (B)βA=1∠0° (C)βA=1∠180° (D)βA<1∠90° 。
13. 放大器中,加入負回授之主要目的是 (A)增加穩定度 (B)提高增益 (C)產生振盪 (D)增加功率 。
14. 一個理想電壓放大器,其輸入電流 Ii 及輸入阻抗 Ri 分別為 (A)Ii=∞,Ri=0 (B)Ii=0,Ri=0 (C)Ii=∞,Ri=∞ (D)Ii=0,Ri=∞ 。
15. 下圖為 CE 放大電路之交流等效電路,hfe=50,hie=1KΩ,則基極的輸入阻抗為
(A)1KΩ (B)10KΩ (C)52KΩ (D)104KΩ 。
16. 在 CE 放大器上使用的射極旁路電容器,其作用是 (A)阻止直流電壓通過射極電阻 (B)濾波 (C)使電壓增益不致因射極電阻而大為降低 (D)抑制振盪 。
17. 電晶體的 I
co
為 10nA,而其 I
ceo
為 1μA,由此可估計此電晶體的β約為(A)1 (B)10 (C)50 (D)100 。
18. 飽和型電晶體開關電路比非飽和型開關電路速度慢,其主要原因為前者(A)儲存時間較長 (B)上昇時間較長 (C)下降時間較長 (D)延遲時間較長 。
19. 下圖之截波(Clipper)電路,若-6V≦Vi≦6V,二極體為理想二極體,則 Vo 的大小為
(A)1.5V≦Vo≦3V (B)3V≦Vo≦6V (C)-3V≦Vo≦-1.5V (D)-6V≦Vo≦-3V 。
20. 下圖之電路,欲使電晶體飽和,則 Rb 之值應小於
(A)βRc (B)Rc (C)2βRc(D)Rc/β 。
21. 就達靈頓對(Darlington-Pair)而言 (A)輸出阻抗低,電流增益小於 1 (B)輸出阻抗低,電流增益等於 1 (C)輸出阻抗低,電流增益甚高 (D)輸出阻抗及電流增益皆甚高 。
22. 電晶體 CE 放大之混合參數(h 參數)等效之輸入電壓可等於 (A)VBE=hoeIB+hoeVCE (B)VBE=hieIB+hoeVCE (C)VBE=hoeIB+hreVCE (D)VBE=hieIB+hreVCE 。
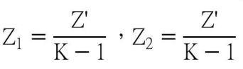
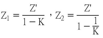
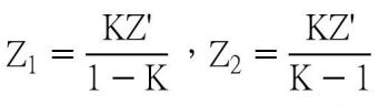
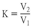
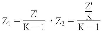
23. 下圖之電路,依據米勒定理(Miller's Theorem),兩圖為等效電路,設
,則 Z
1
及 Z
2
分別為
(A)
(B)
(C)
(D)
。
24. 當共射極放大器之集極電流增大時,其集極功率損耗 (A)視工作點的位置決定增加或減少 (B)必然隨之增加 (C)必然隨之減少 (D)必將導致熱跑脫 。
25. 有一電晶體β=100,測得基極電流 IB=0.4mA,集極電流 IC=4mA,則此電晶體工作於何區? (A)工作區 (B)飽和區 (C)截止區 (D)電阻區 。
26. 靴帶式(Bootstrap)射極隨耦器的主要特點為 (A)輸出阻抗極高 (B)輸入阻抗極高 (C)電壓增益極高 (D)輸入阻抗極低 。
27. 下圖的箝位電路,當輸入為 10sinωt 時,則輸出 V
o
為何?
(A)
(B)
(C)
(D)
。
28. 達靈頓對(Darlington-Pair)的總電流增益約為 (A)h
fe1
‧h
fe2
(B)h
fe1
+hf
e2
(C)
(D)
。
29. 電晶體放大電路中,下列何者是影響放大器高頻響應的主因? (A)電晶體的極際電容 (B)耦合電容 (C)射極傍路電容 (D)反耦合電容 。
30. 產生 B 類推挽放大器交叉失真的原因為 (A)輸入信號過大 (B)阻抗不匹配(C)功率放大倍數過大 (D)電晶體 B-E 偏壓過低 。
31. 在工作中之功率電晶體,若已知其接合面溫度 Tj=120°C,周圍溫度Ta=20°C,接合面消耗功率 Pd=40W,則其熱阻θja 為 (A)2°C/W (B)2.5°C/W (C)3.5°C/W (D)4°C/W 。
32. 輸入信號為 5Sin10t+6Sin20t,而輸出信號為 20Sin10t+18Sin20t,則此放大器具有下列何種失真? (A)頻率失真 (B)非線性失真 (C)波幅失真 (D)互調失真 。
33. 放大器在其高頻或低頻截止頻率時的功率增益,為其中頻段功率增益的多少倍? (A)
(B)2 (C)
(D)1/2 。
34. FET 的 IDSS 是在下列何種條件下所測得的 VDS? (A)IDS=0V (B)VGS=0V (C)VGG=0V (D)VDD=0V 。
35. 某一放大器其頻帶寬為 20KHz,若加上負回授使其雜訊衰減了 10 倍,則此放大器的頻寬變為 (A)40KHz (B)100KHz (C)120KHz (D)200KHz 。
36. 電流串聯負回授,會使電路的輸入阻抗 Ri、及輸出阻抗 Ro 產生何種變化? (A)Ri 增加、Ro 增加 (B)Ri 增加、Ro 減低 (C)Ri 減低、Ro 增加 (D)Ri減低、Ro 減低 。
37. 下圖之電路為何種負回授電路?
(A)電壓串聯負回授電路 (B)電壓並聯負回授電路 (C)電流串聯負回授電路 (D)電流並聯負回授電路 。
38. 下列何者較適合做互導放大器? (A)電壓串聯負回授電路 (B)電壓並聯負回授電路 (C)電流串聯負回授電路 (D)電流並聯負回授電路 。
39. 下圖之電路,其振盪頻率 f 為何?
(A)
(B)
(C)
(D)
。
40. 有關韋恩電橋振盪器之敘述,下列何者錯誤? (A)正回授量β=1/3 (B)同時具有正、負回授 (C)屬於 RC 振盪電路的一種 (D)其負回授是經由電抗臂完成 。
41. 石英晶體振盪器較 LC 振盪器之優點為何? (A)振盪頻率範圍較廣 (B)振盪頻率較穩定 (C)振盪頻率較於調整 (D)振盪器信號的振幅較大 。
42. 採用電容分壓方式來做正回授的是下列何種振盪器? (A)考畢子振盪器(B)哈特萊振盪器 (C)阿姆斯壯振盪器 (D)負電阻振盪器 。
43. 下圖之電路,若 Q1、Q2 導通時之 Vbe=0.5V,飽和時 Vce(sat)=0V,則此電路之上限觸發電壓為
(A)0.5V (B)2.5V (C)4.5V (D)6.5V 。
44. 下圖之無穩態多諧振盪器,電晶體的β、Rb、及 Rc 間的關係為何?
(A)Rc<βRb (B)Rc>Rb (C)βRc<Rb (D)βRc>Rb 。
45. 下圖為 IC 555 所構成的電路,下列敘述何者錯誤?
(A)為一無穩態多諧振盪器 (B)振盪週期 T=0.7(Ra+2Rb)C (C)Vo 為高電位的時間th=0.7(Ra+Rb)C (D)Vo 為低電位的時間 tl=0.7RaC 。
46. 下圖之電路,其 h 參數中的 h11 為
(A)5KΩ (B)10KΩ (C)15KΩ (D)20KΩ 。
47. 下圖之偏壓電路,其熱穩定因數 ST 為
(A)0 (B)1 (C)Rc/Rb (D)1+β 。
48. 一個二極體的直流工作電流為 Id,則在常溫下,此二極體對交流小信號而言,所呈現的交流動態電阻 r 約為 (A)25mv/Id (B)25mv×Id (C)Id/25mv(D)25mv(Id+1) 。
49. 下圖之電路,若 Vo(sat)=±12V,則此電路的上限電壓 Vut、及下限電壓
為
(A)±1V (B)±4V (C)±9V (D)±12V 。
50. 下圖之電路,若 V1=3V、V2=-1V,則 Vo 為
(A)-8V (B)-4V (C)4V (D)8V 。
申論題 (0)
相關試卷
114年 - 11700 數位電子 乙級 工作項目 10:微控制器系統 1-40(2025/12/12 更新)#134885
114年 · #134885
114年 - 11700 數位電子 乙級 工作項目 09:網路技術與應用 1-42(2025/12/12 更新)#134884
114年 · #134884
114年 - 11700 數位電子 乙級 工作項目 08:程式語言 51-81(2025/12/12 更新)#134883
114年 · #134883
114年 - 11700 數位電子 乙級 工作項目 08:程式語言 1-50(2025/12/12 更新)#134882
114年 · #134882
114年 - 11700 數位電子 乙級 工作項目 07:電腦與周邊設備 101-129(2025/12/12 更新)#134881
114年 · #134881
114年 - 11700 數位電子 乙級 工作項目 07:電腦與周邊設備 51-100(2025/12/12 更新)#134880
114年 · #134880
114年 - 11700 數位電子 乙級 工作項目 07:電腦與周邊設備 1-50(2025/12/12 更新)#134879
114年 · #134879
114年 - 11700 數位電子 乙級 工作項目 06:數位邏輯設計 101-140(2025/12/12 更新)#134878
114年 · #134878
114年 - 11700 數位電子 乙級 工作項目 06:數位邏輯設計 51-100(2025/12/12 更新)#134877
114年 · #134877
114年 - 11700 數位電子 乙級 工作項目 06:數位邏輯設計 1-50(2025/12/12 更新)#134876
114年 · #134876